Đề thi học sinh giỏi lớp 11 THPT tỉnh Quảng Bình môn Toán (năm học 2010 - 2011)
|
SỞ GIÁO DỤC VÀ ĐÀO TẠO ĐỀ CHÍNH THỨC |
KỲ THI CHỌN HỌC SINH GIỎI CẤP TỈNH LỚP 11 THPT ĐỀ THI MÔN: TOÁN |
Câu 1: (3.0 điểm)
a) Giải phương trình:

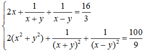
b) Giải hệ phương trình:

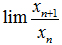
Câu 2: (2.0 điểm) Cho dãy số (xn) xác định như sau:

Tìm 
Câu 3: (3.0 điểm)
Cho tứ diện đều ABCD cạnh a. Gọi I, J lần lượt là trọng tâm các tam giác ABC và DBC. Mặt phẳng qua IJ cắt các cạnh AB, AC, DC, DB lần lượt tại các điểm M, N, P, Q với AM = x, AN = y (0 < x, y < a).
a) Chứng minh MN, PQ, BC đồng qui hoặc song song và MNPQ là hình thang cân.
b) Chứng minh rằng: a(x + y) = 3xy. Suy ra: 
c) Tính diện tích tứ giác MNPQ theo a và s = x + y
Câu 4: (1.0 điểm) Cho phương trình: ax2 + (2b + c)x + (2d + e) = 0 có một nghiệm không nhỏ hơn 4. Chứng minh rằng phương trình ax4 + ax3 + cx2 + dx + e = 0có nghiệm.
Câu 5: (1.0 điểm) Cho x, y, z > 0. Chứng minh rằng:
