Giao diện mới của VnDoc Pro: Dễ sử dụng hơn - chỉ tập trung vào lớp bạn quan tâm. Vui lòng chọn lớp mà bạn quan tâm: Lưu và trải nghiệm
Đóng
Điểm danh hàng ngày
  • Hôm nay +3
  • Ngày 2 +3
  • Ngày 3 +3
  • Ngày 4 +3
  • Ngày 5 +3
  • Ngày 6 +3
  • Ngày 7 +5
Bạn đã điểm danh Hôm nay và nhận 3 điểm!
Nhắn tin Zalo VNDOC để nhận tư vấn mua gói Thành viên hoặc tải tài liệu Hotline hỗ trợ: 0936 120 169

Đề thi khảo sát chất lượng đầu năm môn Toán lớp 12 - Trường THPT chuyên ĐH Vinh

Lớp: Lớp 12
Dạng tài liệu: Đề thi
Loại File: PDF
Phân loại: Tài liệu Tính phí

Vndoc.com xin giới thiệu đến các bạn: Đề thi khảo sát chất lượng đầu năm môn Toán lớp 12 - Trường THPT chuyên ĐH Vinh.

Đề thi khảo sát môn Toán:

TRƯỜNG ĐẠI HỌC VINH
TRƯỜNG THPT CHUYÊN

ĐỀ THI CHÍNH THỨC

ĐỀ THI KHẢO SÁT CHẤT LƯỢNG ĐẦU NĂM
NĂM HỌC 2012 - 2013

MÔN THI: TOÁN - LỚP 12
Thời gian làm bài: 120 phút (không kể thời gian giao đề)

Câu 1. (3 điểm)

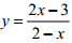
Cho hàm số có đồ thị (C).

a, Tìm điểm M thuộc (C) biết hoành độ của nó thoả mãn phương trình: y"(x) = 2

b, Viết phương trình tiếp tuyến với đồ thị (C) tại điểm M tìm được ở câu a.

Câu 2. (2 điểm)

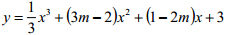
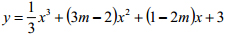
a. (1 điểm) Cho hàm số , m là tham số. Tìm m để hàm số đạt cực tiểu tại điểm x = 1 .

b. (1 điểm) Tìm giá trị lớn nhất, giá trị nhỏ nhất của hàm số

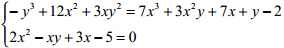
Câu 3. (1 điểm)

Giải hệ phương trình:

Câu 4. (3 điểm)

Cho hình chóp tứ giác đều S.ABCD có cạnh bên gấp 3 lần cạnh đáy.

a. Cho AB = a√2. Tính khoảng cách giữa hai đường thẳng AD và SC.

b. Gọi M là trung điểm AB. Tính góc giữa hai đường thẳng SA và CM.

Câu 5. (1 điểm)

Cho hình lăng trụ tam giác ABC. A’B’C’ có đáy là tam giác đều, cạnh bên bằng a và tạo với đáy một góc 60o. Gọi D là trung điểm cạnh CC’. Biết rằng hình chiếu vuông góc của A’ lên mặt phẳng (ABC) trùng với trọng tâm tam giác ABC. Tính thể tích khối tứ diện ABCD.

Chọn file muốn tải về:
Đóng Chỉ thành viên VnDoc PRO/PROPLUS tải được nội dung này!
Đóng
79.000 / tháng
Đặc quyền các gói Thành viên
PRO
Phổ biến nhất
PRO+
Tải tài liệu Cao cấp 1 Lớp
30 lượt tải tài liệu
Xem nội dung bài viết
Trải nghiệm Không quảng cáo
Làm bài trắc nghiệm không giới hạn
Mua cả năm Tiết kiệm tới 48%
15

Có thể bạn quan tâm

Xác thực tài khoản!

Theo Nghị định 147/2024/ND-CP, bạn cần xác thực tài khoản trước khi sử dụng tính năng này. Chúng tôi sẽ gửi mã xác thực qua SMS hoặc Zalo tới số điện thoại mà bạn nhập dưới đây:

Số điện thoại chưa đúng định dạng!
Số điện thoại này đã được xác thực!
Bạn có thể dùng Sđt này đăng nhập tại đây!
Lỗi gửi SMS, liên hệ Admin
Sắp xếp theo
🖼️

Đề KSCL đầu năm lớp 12

Xem thêm
🖼️

Gợi ý cho bạn

Xem thêm