Đề thi khảo sát chất lượng đầu năm môn Vật lý lớp 11 trường THPT Phan Ngọc Hiển, Cà Mau năm học 2015 - 2016
Đề thi khảo sát chất lượng đầu năm môn Vật lý lớp 11
Đề thi khảo sát chất lượng đầu năm môn Vật lý lớp 11 trường THPT Phan Ngọc Hiển, Cà Mau năm học 2015 - 2016 là đề kiểm tra nhằm đánh giá chất lượng hoc sinh đầu năm học mới. Đề thi có đáp án đi kèm, hi vọng sẽ giúp các bạn học sinh mới từ lớp 10 lên lớp 11 ôn tập và củng cố kiến thức hiệu quả.
|
Trường THPT Phan Ngọc Hiển Họ và tên HS:……………………… Lớp 11 C… |
Bài kiểm tra khảo sát đầu năm Môn: Vật Lí 11 CB Thời gian 15 phút |
ĐỀ 1
A) PHẦN TRẮC NGHIỆM
Câu 1: Chọn câu sai
A. Điện tích của một hạt có thể có giá trị tùy ý.
B. Đơn vị điện tích là culông (C).
C. Các điện tích cùng dấu đẩy nhau, trái dấu thì hút nhau.
D. Điện tích của êlectron có giá trị tuyệt đối là e =1,6.10-19C.
Câu 2: Đặt một điện tích vào trong điện trường có véc tơ cường độ điện trường
. Hướng của lức điện trường tác dụng lên điện tích:
A. luôn vuông góc với
.
B. luôn ngược hướng với
.
C. luôn cùng hướng với
.
D. có thể cùng hướng hay ngược hướng với
tùy vào dấu của điện tích.
Câu 3: Nếu tăng khoảng cách giữa hai điện tích điểm lên 3 lần thì lực tương tác tĩnh điện giữa chúng sẽ
A. tăng lên 3 lần. B. giảm đi 3 lần.
C. giảm đi 9 lần. D. tăng lên 9 lần
Câu 4: Đặt một điện tích thử tại điểm M trong một điện trường. Độ lớn của lực điện tác dụng lên điện tích:
A. Phụ thuộc vào độ lớn điện tích.
B. Phụ thuộc vào độ lớn của cường độ điện trường tại M.
C. Không phụ thuộc vào dấu của điện tích.
D. Cả A, B, C đều đúng.
Câu 5: Hai quả cầu giống hệt nhau, ban đầu quả cầu A nhiễm điện dương, quả cầu B không bị nhiễm điện. Sau khi cho chúng tiếp xúc và tách ra thì:
A. cả hai quả cầu điều bị nhiễm điện dương.
B. cả hai quả cầu điều bị nhiễm điện âm.
C. quả cầu A nhiễm điện dương, quả cầu B nhiễm điện âm.
D. quả cầu A trở thành trung hòa về điện.
Câu 6: Đại lượng nào dưới đây không liên quan đến cường độ điện trường của một điện tích điểm Q tại một điểm?
A. Điện tích Q. B. Điện tích thử q.
C. Khoảng cách r từ Q đến q. D. Hằng số điện môi của môi trường.
B) PHẦN TỰ LUẬN
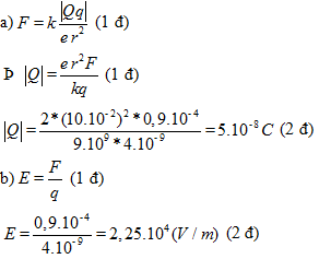
Hai điện tích điểm Q và q = 4.10-9 C đăt trong dầu cách nhau10cm, hằng số điện môi của dầu e = 2, lực tương tác giữa hai điện tích là 0,9.10-4 N.
a) Tính độ lớn của điện tích Q.
b) Tính cường độ điện trường tại điểm đặt điện tích q.
Đề thi khảo sát chất lượng đầu năm môn Vật lý lớp 11
Đề 1
A. PHẦN TRẮC NGHIỆM
|
Câu 1 |
Câu 2 |
Câu 3 |
Câu 4 |
Câu 5 |
Câu 6 |
|
D |
C |
A |
B |
D |
D |
B. PHẦN TỰ LUẬN
