Giao diện mới của VnDoc Pro: Dễ sử dụng hơn - chỉ tập trung vào lớp bạn quan tâm. Vui lòng chọn lớp mà bạn quan tâm: Lưu và trải nghiệm
Đóng
Điểm danh hàng ngày
  • Hôm nay +3
  • Ngày 2 +3
  • Ngày 3 +3
  • Ngày 4 +3
  • Ngày 5 +3
  • Ngày 6 +3
  • Ngày 7 +5
Bạn đã điểm danh Hôm nay và nhận 3 điểm!
Nhắn tin Zalo VNDOC để nhận tư vấn mua gói Thành viên hoặc tải tài liệu Hotline hỗ trợ: 0936 120 169

Đề thi thử THPT Quốc gia môn Toán năm 2016 tỉnh Hậu Giang

Loại File: Word + PDF
Phân loại: Tài liệu Tính phí

Đề thi thử THPT Quốc gia môn Toán năm 2016

Đề thi thử THPT Quốc gia môn Toán năm 2016 tỉnh Hậu Giang là đề thi thử đại học môn Toán hay được VnDoc.com sưu ầm và đăng tải. Đây là đề luyện thi hữu ích dành cho các bạn học sinh, giúp các bạn củng cố và nâng cao kỹ năng làm bài môn Toán, từ đó chuẩn bị tốt nhất cho kì thi THPT Quốc gia, luyện thi Đại học, Cao đẳng 2016. Mời các bạn tham khảo.

Đề thi thử THPT Quốc gia môn Toán năm 2016 tỉnh Hưng Yên

Đề thi thử THPT Quốc gia môn Toán năm 2016 tỉnh Quảng Nam

SỞ GIÁO DỤC VÀ ĐÀO TẠO
TỈNH HẬU GIANG
ĐỀ CHÍNH THỨC
ĐỀ THI THỬ - KỲ THI THPT QUỐC GIA NĂM 2016
MÔN: TOÁN
Thời gian làm bài: 180 phút, không kể thời gian phát đề

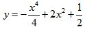
Câu 1 (1,0 điểm). Khảo sát sự biến thiên và vẽ đồ thị của hàm số Đề thi thử THPT Quốc gia môn Toán năm 2016 tỉnh Hậu Giang.

Câu 2 (1,0 điểm). Viết phương trình tiếp tuyến của đồ thị hàm số Đề thi thử THPT Quốc gia môn Toán năm 2016 tỉnh Hậu Giang tại điểm có tung độ bằng 1.

Câu 3 (1,0 điểm).

a. Cho số phức z thỏa mãn (1 - 2i)z + 4 - 3i = (2 + i)2. Tính môđun của số phức z.

b. Giải phương trình 49x + 7x+1 - 8 = 0.

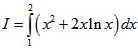
Câu 4 (1,0 điểm). Tính tích phân sau Đề thi thử THPT Quốc gia môn Toán năm 2016 tỉnh Hậu Giang

Câu 5 (1,0 điểm). Trong không gian với hệ tọa độ Oxyz, cho 2 điểm A(1; 1; 2), B(2; -1; 0). Viết phương trình mặt phẳng (P) đi qua A và vuông góc với AB. Tìm tọa độ điểm M thuộc trục Ox sao cho khoảng cách từ M đến A bằng 9/4 lần khoảng cách từ M đến (P).

Câu 6 (1,0 điểm).

a. Giải phương trình (sinx + cosx)2 + sinx + 2cosx = 0.

b. Đội thanh niên tình nguyện của trường Đại học Cần Thơ tham gia chiến dịch Mùa hè xanh tại tỉnh Hậu Giang gồm 7 sinh viên Khoa Sư phạm (3 nữ, 4 nam) và 5 nan sinh viên khoa Nông nghiệp. Chọn ngẫu nhiên 3 sinh viên trong đội thanh niên tình nguyện trên để phân công về địa bàn xã Hỏa Tiến. Tính xác suất để 3 sinh viên được chọn có đủ nam lẫn nữ và sinh viên cả hai khoa.

Câu 7 (1,0 điểm). Cho hình chóp S.ABC có đáy ABC là tam giác vuông cân tại A, AB = a, Cạnh bên SA vuông góc với mặt đáy. Góc giữa mặt phẳng (SBC) và mặt phẳng (ABC) bằng 60o. Tính theo a thể tích của khối chóp S.ABC và khoảng cách từ điểm A đến mặt phẳng (SBC).

Câu 8 (1,0 điểm). Trong mặt phẳng với hệ tọa độ Oxy, cho tam giác ABC với BC = √5, đỉnh A(-1; -1), đường thẳng BC có phương trình x + 2y - 3 = 0 và trọng tâm G của tam giác ABC thuộc đường thẳng x + y - 2 = 0. Xác định tọa độ các đỉnh B và C.

Câu 9 (1,0 điểm). Giải phương trình Đề thi thử THPT Quốc gia môn Toán năm 2016 tỉnh Hậu Giang trên tập số thực.

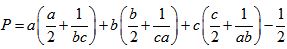
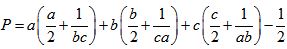
Câu 10 (1,0 điểm). Cho a, b, c là 3 số thực dương thay đổi. Tìm giá trị nhỏ nhất của biểu thức:

Đề thi thử THPT Quốc gia môn Toán năm 2016 tỉnh Hậu Giang

---------------Hết---------------

Thí sinh không được sử dụng tài liệu. Cán bộ coi thi không giải thích gì thêm.

Chọn file muốn tải về:
Đóng Chỉ thành viên VnDoc PRO/PROPLUS tải được nội dung này!
Đóng
79.000 / tháng
Đặc quyền các gói Thành viên
PRO
Phổ biến nhất
PRO+
Tải tài liệu Cao cấp 1 Lớp
30 lượt tải tài liệu
Xem nội dung bài viết
Trải nghiệm Không quảng cáo
Làm bài trắc nghiệm không giới hạn
Mua cả năm Tiết kiệm tới 48%
Xác thực tài khoản!

Theo Nghị định 147/2024/ND-CP, bạn cần xác thực tài khoản trước khi sử dụng tính năng này. Chúng tôi sẽ gửi mã xác thực qua SMS hoặc Zalo tới số điện thoại mà bạn nhập dưới đây:

Số điện thoại chưa đúng định dạng!
Số điện thoại này đã được xác thực!
Bạn có thể dùng Sđt này đăng nhập tại đây!
Lỗi gửi SMS, liên hệ Admin
Sắp xếp theo
🖼️

Thi THPT Quốc gia môn Toán

Xem thêm
🖼️

Gợi ý cho bạn

Xem thêm