Đề thi thử THPT Quốc gia năm 2016 môn Toán trường THPT Yên Lạc, Vĩnh Phúc (Lần 1)
Đề thi thử THPT Quốc gia năm 2016 môn Toán
Nhằm giúp các bạn học sinh lớp 12, các bạn thí sinh tự do có thêm tài liệu tự ôn thi THPT Quốc gia cũng như ôn thi đại học, VnDoc.com xin giới thiệu Đề thi thử THPT Quốc gia năm 2016 môn Toán trường THPT Yên Lạc, Vĩnh Phúc (Lần 1). Đề thi môn Toán có đáp án, hi vọng sẽ giúp các bạn đạt điểm cao trong kì thi quan trọng sắp tới.
Đề thi thử THPT Quốc gia môn Toán lần 2 năm 2016 trường THPT Yên Lạc, Vĩnh Phúc
Đề thi thử THPT Quốc gia môn Toán lần 1 năm 2016 trường THPT Yên Lạc 2, Vĩnh Phúc
|
SỞ GD & ĐT VĨNH PHÚC TRƯỜNG THPT YÊN LẠC
|
ĐỀ KHẢO SÁT CHẤT LƯỢNG LẦN 1 LỚP 12 NĂM HỌC 2015-2016 ĐỀ THI MÔN: TOÁN Thời gian làm bài: 150 phút, không kể thời gian giao đề |
Câu I (2 điểm). Cho hàm số y = x3 - 3(m + 1)x2 + 9x - m, với m là tham số thực.
1. Khảo sát sự biến thiên và vẽ đồ thị của hàm số đã cho với m = 1.
2. Xác định m để hàm số đã cho đạt cực trị tại x1, x2 sao cho |x1 - x2| = 2.
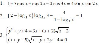
Câu II (3 điểm). Giải các phương trình, hệ phương trình sau

Câu III (1 điểm). Tính tổng
.
Câu IV (1 điểm). Cho lăng trụ tam giác ABC.A1B1C1 có tất cả các cạnh bằng a, góc tạo bởi cạnh bên và mặt phẳng đáy bằng 300. Hình chiếu H của điểm A trên mặt phẳng (A1B1C1) thuộc đường thẳng B1C1. Tính thể tích khối lăng trụ ABC.A1B1C1 và tính khoảng cách giữa hai đường thẳng AA1 và B1C1 theo a.
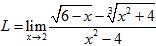
Câu V (1 điểm). Tính giới hạn
.
Câu VI (1 điểm). Trong mặt phẳng với hệ tọa độ Oxy cho đường tròn (C1): x2 + y2 = 13 và đường tròn (C2): (x - 6)2 + y2 = 25 cắt nhau tại A(2; 3). Viết phương trình đường thẳng đi qua A và lần lượt cắt (C1), (C2) theo hai dây cung phân biệt có độ dài bằng nhau.
Câu VII (1 điểm). Cho các số thực dương a, b, c thỏa mãn điều kiện a + b + c = 1. Tìm giá trị nhỏ nhất của biểu thức:
.
Đáp án đề thi thử THPT Quốc gia năm 2016 môn Toán






