Đề thi tuyển sinh vào lớp 10 môn Toán (chuyên) năm học 2015-2016 Sở GD-ĐT TP Hồ Chí Minh
Đề thi tuyển sinh vào lớp 10 môn Toán
Đề thi tuyển sinh vào lớp 10 môn Toán (chuyên) năm học 2015-2016 Sở GD-ĐT TP Hồ Chí Minh là đề thi chính thức vào lớp 10 môn Toán lớp chuyên diễn ra vào ngày 12.06.2015, có đáp án gợi ý. VnDoc xin gửi đến các bạn tham khảo, làm tài liệu học tập cũng như so sánh đối chiếu bài làm của mình.
Đề thi tuyển sinh vào lớp 10 môn Toán năm học 2015-2016 Sở GD-ĐT TP Hồ Chí Minh
Đề thi tuyển sinh vào lớp 10 môn Ngữ văn năm học 2015-2016 Sở GD-ĐT TP Hồ Chí Minh
|
SỞ GIÁO DỤC VÀ ĐÀO TẠO ĐỀ CHÍNH THỨC |
KỲ THI TUYỂN SINH LỚP 10 THPT NĂM HỌC 2015 – 2016 MÔN THI: TOÁN CHUYÊN Ngày thi: 12 tháng 6 năm 2015 (Đề thi gồm 01 trang) Thời gian làm bài: 150 phút (không kể thời gian phát đề) |
Câu 1. (1,5 điểm)
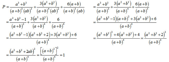
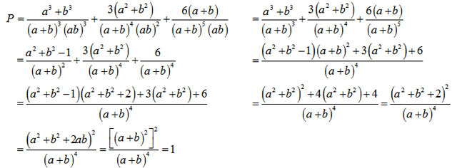
Cho hai số thực a, b thỏa điều kiện ab = 1, a + b ≠ 0. Tính giá trị của biểu thức:

Câu 2. (2,5 điểm)
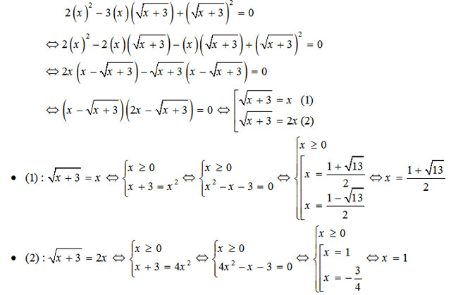
a. Giải phương trình: 2x2 + x + 3 = 3x√(x + 3)
b. Chứng minh rằng:
với mọi số nguyên a, b, c.
Câu 3. (2 điểm)
Cho hình bình hành ABCD. Đường thẳng qua C vuông góc với CD cắt đường thẳng qua A vuông góc với BD tại F. Đường thẳng qua vuông góc với AB cắt đường trung trực của AC tại E. Hai đường thẳng BC và EF cắt nhau tại K. Tính tỉ số KE/KF.
Câu 4. (1 điểm)
Cho hai số dương a, b thỏa mãn điều kiện: a + b ≤ 1.
Chứng minh rằng: a2 - 3/4a - a/b ≤ -9/4.
Câu 5. (2 điểm)
Cho tam giác ABC có ba góc nhọn nội tiếp đường tròn (O). Gọi M là trung điểm của cạnh BC và N là điểm đối xứng của M qua O. Đường thẳng qua A vuông góc với AN cắt đường thẳng qua B vuông góc với BC tại D. Kẻ đường kính AE. Chứng minh rằng:
a. Chứng minh BA.BC = 2BD.BE
b. CD đi qua trung điểm của đường cao AH của tam giác ABC.
Câu 6. (1 điểm)
Mười vận động viên tham gia cuộc thi đấu quần vợt. Cứ hai người trong họ chơi với nhau đúng một trận. Người thứ nhất thắng x1 trận và thua y1 trận, người thứ hai thắng x2 trận và thua y2 trận, ..., người thứ mười thắng x10 trận và thua y10 trận. Biết rằng trong một trận đấu quần vợt không có kết quả hòa. Chứng minh rằng:
![]()
Đáp án đề thi tuyển sinh vào lớp 10 môn Toán
Câu 1.
Với ab = 1, a + b ≠ 0, ta có:

Vậy P = 1, với ab = 1, a + b ≠ 0.
Câu 2a.
Điều kiện: x ≥ -3
Với điều kiện trên, phương trình trở thành:

So với điều kiện ban đầu, ta được tập nghiệm của phương trình đã cho là:
S = {1; (1 + √13)/2}