Đề thi Violympic Toán lớp 6 vòng 17 năm 2016 - 2017
Đề thi Violympic Toán lớp 6 vòng 17
Đề thi Violympic Toán lớp 6 vòng 17 năm 2016 - 2017 được VnDoc sưu tầm, tổng hợp giúp các em học sinh có thêm nguồn tư liệu ôn thi hữu ích đồng thời các em sẽ hệ thống lại toàn bộ kiến thức, tích lũy kinh nghiệm giải đề và biết cách phân bổ thời gian hợp lý trong từng bài thi. Sau đây mời các em cùng tham khảo và tải về.
Làm Đề thi Violympic Toán lớp 6 vòng 17 năm 2016 - 2017 online
Đề thi Violympic Toán lớp 6 vòng 17 năm 2016 - 2017
Bài 1: Điền kết quả thích hợp vào chỗ chấm
Câu 1: Có bao nhiêu phân số bằng phân số -15/20 có mẫu số là số nguyên dương nhỏ hơn 30?
Trả lời: ......
Câu 2: Hai góc bù nhau, số đo góc này bằng 4 lần số đo góc kia. Vậy số đo góc lớn là bao nhiêu độ?
Trả lời: ......
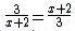
Câu 3: Tập hợp các số tự nhiên n để
có giá trị nguyên có số phần tử là?
Trả lời: ......
Câu 4: Gọi A là tập hợp các số tự nhiên có bốn chữ số khi chia hết cho 5 có số dư là 2. Số các phần tử của A là?
Trả lời: ......
Câu 5: Tập hợp các số nguyên x thỏa mãn
là?
Trả lời: ......
Câu 6: Tập hợp các số nguyên x thỏa mãn x2016 = x2 là?
Trả lời: ......
Câu 7: Để
chia hết cho 8 và 9 thì giá trị nhỏ nhất của b là bao nhiêu?
Trả lời: ......
Câu 8: Số cặp (x;y) nguyên dương thỏa mãn x2 + y2 = 13 là?
Trả lời: ......
Câu 9: Số giá trị nguyên của x thỏa mãn Ix2 - 5I + I5 - x2I = 40 là?
Trả lời: ......
Câu 10: Cặp số nguyên dương (x;y) thỏa mãn I(x2 + 3 )(y + 1)I = 16 là (x;y) = ?
Trả lời: ......
Bài 2: Đừng để điểm rơi
Câu 1: Số nguyên y thỏa mãn
là?
Trả lời: ......
Câu 2: Số tự nhiên n nhỏ nhất để (-2)n < (-2)2017 là?
Trả lời:.....
Câu 3: Số tự nhiên n lớn nhất để
nhận giá trị nguyên là?
Trả lời: ......
Câu 4: Số các số nguyên x thỏa mãn 15 + I-2x + 3I = 19 là?
Trả lời: ......
Câu 5: Số các cặp số nguyên (x;y) thỏa mãn (3x + 5)(-3y + 7) = 48 là?
Trả lời: ......
Câu 6: Rút gọn biểu thức

ta được A = ?
Trả lời: ......
Câu 7: Số nguyên lớn nhất thuộc tập hợp ước chung của 18 và 45 là?
Trả lời: ......
Câu 8: Số tự nhiên n lớn nhất để 4n < 263 là?
Trả lời: ......
Câu 9: Cho a là một số chẵn không chia hết cho 10. Hai chữ số tận cùng của a40 là?
Trả lời: ......
Câu 10: Tổng của tất cả các số có ba chữ số khác nhau được lập từ các chữ số 1; 2; 3; 4; 5 là?
Trả lời: ......
Bài 3: Bức tranh bí ẩn
Câu 1: Tổng các ước tự nhiên của số 100?
Trả lời: ......
Câu 2: Số các số nguyên dương vừa là bội của 8 vừa là ước của 80 là?
Trả lời:
Câu 3: 42.2 - (12016 + 15) : 42 = ?
Trả lời: ......
Câu 4: (-45).(-20) = ?
Trả lời: ......
Câu 5: Số phần tử của tập hợp các ước nguyên dương của 50 là?
Trả lời: ......
Câu 6: Giá trị của x thỏa mãn 9x - 59049 là?
Trả lời: ......
Câu 7:
810 = ?
Trả lời: ......
Câu 8:
Giá trị của x thỏa mãn 3 (x + 1) - 2 (x + 1) = 30
Trả lời: ......
Đáp án đề thi Violympic Toán lớp 6 vòng 17 năm 2016 - 2017
Bài 1: Điền kết quả thích hợp vào chỗ chấm
Câu 1: 7 Câu 6: {-1;0;1}
Câu 2: 144 Câu 7: 123408
Câu 3: 2 Câu 8: 2
Câu 4: 1800 Câu 9: 2
Câu 5: {-5;1} Câu 10: (1,3)
Bài 2: Đừng để điểm rơi
Câu 1: 1 Câu 6: -1
Câu 2: 2019 Câu 7: 9
Câu 3: 4 Câu 8: 31
Câu 4: 0 Câu 9: 76
Câu 5: 0 Câu 10: 19980
Bài 3: Bức tranh bí ẩn
Câu 1: 217 Câu 6: 5
Câu 2: 22 Câu 7: 230
Câu 3: 31 Câu 8: 29
Câu 4: 9.102
Câu 5: 32 - 3