Giải bài tập SGK Toán lớp 8 bài: Phần Đại số - Ôn tập cuối năm
Giải bài tập Toán lớp 8: Phần Đại số - Ôn tập cuối năm
Giải bài tập SGK Toán lớp 8 bài: Phần Đại số - Ôn tập cuối năm với lời giải chi tiết, rõ ràng theo khung chương trình sách giáo khoa Toán lớp 8. Lời giải hay bài tập Toán 8 này gồm các bài giải tương ứng với từng bài học trong sách giúp cho các bạn học sinh ôn tập và củng cố các dạng bài tập, rèn luyện kỹ năng giải môn Toán. Mời các bạn tham khảo
Giải bài tập SGK Toán lớp 8 bài 8: Diện tích xung quanh của hình chóp đều
Giải bài tập SGK Toán lớp 8 bài 9: Thể tích của hình chóp đều
Giải bài tập SGK Toán lớp 8 bài: Ôn tập chương IV - Hình lăng trụ đứng. Hình chóp đều
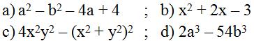
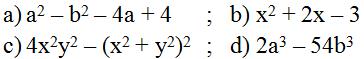
Bài 1 (trang 130 SGK Toán 8 tập 2): Phân tích các đa thức sau thành nhân tử:
![]()
Lời giải:

Bài 2 (trang 130 SGK Toán 8 tập 2): a) Thực hiện phép chia:
![]()
b) Chứng tỏ rằng thương tìm được trong phép chia trên luôn luôn đương với mọi giá trị của x.
Lời giải:

Vậy thương tìm được luôn luôn dương với mọi giá trị của x.
Bài 3 (trang 130 SGK Toán 8 tập 2): Chứng minh rằng hiệu các bình phương của hai số lẻ bất kì thì chia hết cho 8.
Lời giải:

Bài 4 (trang 130 SGK Toán 8 tập 2): Rút gọn rồi tính giá trị của biểu thức sau tại x = -1/3.

Lời giải:


Bài 5 (trang 130 SGK Toán 8 tập 2): Chứng minh rằng:
![]()
Lời giải:

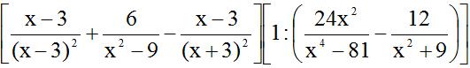
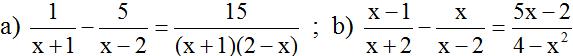
Bài 6 (trang 130 SGK Toán 8 tập 2): Tìm các giá trị nguyên của x để phân thức M có giá trị một số nguyên:
![]()
Lời giải:

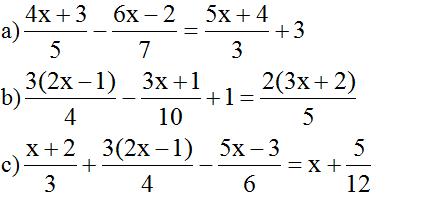
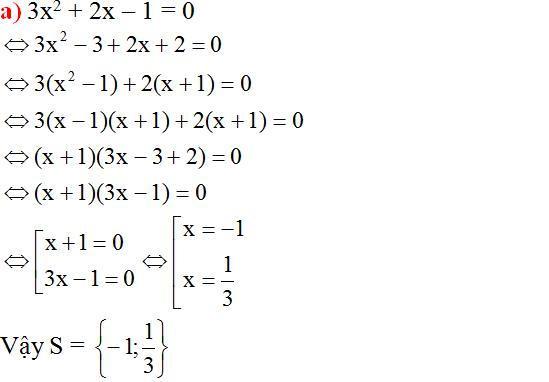
Bài 7 (trang 130 SGK Toán 8 tập 2): Giải các phương trình:

Lời giải:

Bài 8 (trang 130 SGK Toán 8 tập 2): Giải các phương trình:
a) |2x – 3| = 4; b) |3x – 1| - x = 2
Lời giải:


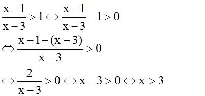
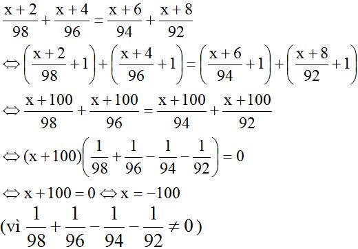
Bài 9 (trang 130-131 SGK Toán 8 tập 2): Giải phương trình:
![]()
Lời giải:

Bài 10 (trang 131 SGK Toán 8 tập 2): Giải các phương trình:
![]()
Lời giải:

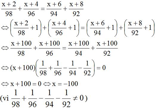
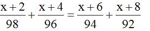
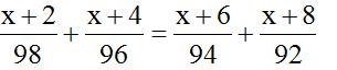
Bài 11 (trang 131 SGK Toán 8 tập 2): Giải các phương trình:
![]()
Lời giải:


Bài 12 (trang 131 SGK Toán 8 tập 2): Một người đi xe máy từ A đến B với vận tốc 25km/h. Lúc về người đó đi với vận tốc 30km/h nên thời gian về ít hơn thời gian đi là 20 phút. Tính quãng đường AB.
Lời giải:

Bài 13 (trang 131 SGK Toán 8 tập 2): Một xí nghiệp dự định sản xuất 1500 sản phẩm trong 30 ngày. Nhưng nhờ tổ chức lao động hợp lý nên thực tế đã sản xuất mỗi ngày vượt 15 sản phẩm. Do đó xí nghiệp đã sản xuất không những vượt mức dự định 255 sản phẩm mà còn hoàn thành trước thời hạn. Hỏi thực tế xí nghiệp đã rút ngắn được bào nhiêu ngày?
Lời giải:

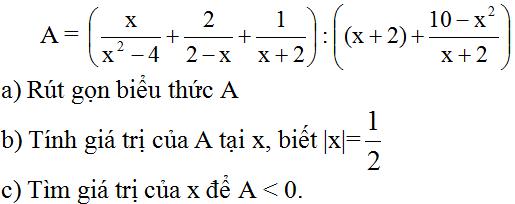
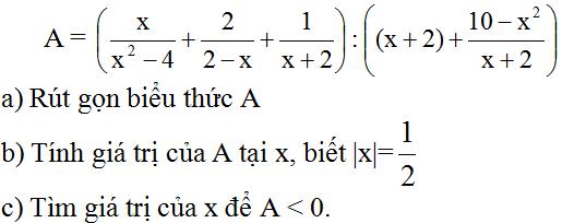
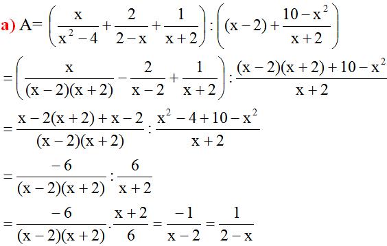
Bài 14 (trang 131 SGK Toán 8 tập 2): Cho biểu thức:

Lời giải:


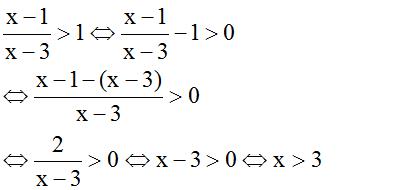
Bài 15 (trang 131 SGK Toán 8 tập 2): Giải bất phương trình:
![]()
Lời giải:
