Giải bài tập SGK Toán lớp 8 bài 8: Diện tích xung quanh của hình chóp đều
Giải bài tập Toán lớp 8 bài 8: Diện tích xung quanh của hình chóp đều
Giải bài tập SGK Toán lớp 8 bài 8: Diện tích xung quanh của hình chóp đều với lời giải chi tiết, rõ ràng theo khung chương trình sách giáo khoa Toán lớp 8. Lời giải hay bài tập Toán 8 này gồm các bài giải tương ứng với từng bài học trong sách giúp cho các bạn học sinh ôn tập và củng cố các dạng bài tập, rèn luyện kỹ năng giải môn Toán. Mời các bạn tham khảo
Giải bài tập SGK Toán lớp 8 bài 5: Diện tích xung quanh của hình lăng trụ đứng
Giải bài tập SGK Toán lớp 8 bài 6: Thể tích của hình lăng trụ đứng
Giải bài tập SGK Toán lớp 8 bài 7: Hình chóp đều và hình chóp cụt đều
Trả lời câu hỏi Toán 8 Tập 2 Bài 8 trang 119: Vẽ, cắt và gấp miếng bìa như ở hình 123. Quan sát hình gấp được, hãy điền số thích hợp vào chỗ trống (…) ở các câu dưới đây:
a) Số các mặt bằng nhau trong một hình chóp tứ giác đều là …
b) Diện tích mỗi mặt tam giác là … cm2.
c) Diện tích đáy của hình chóp đều là … cm2.
d) Tổng diện tích tất cả các mặt bên của hình chóp đều là … cm2.

Lời giải
a) Số các mặt bằng nhau trong một hình chóp tứ giác đều là 4
b) Diện tích mỗi mặt tam giác là
\(\frac{1}{2}\). 4.6 = 12 cm2.
c) Diện tích đáy của hình chóp đều là 4.4 = 16 cm2.
d) Tổng diện tích tất cả các mặt bên của hình chóp đều là 12.4 = 48 cm2.
Bài 40 (trang 121 SGK Toán 8 tập 2): Một hình chóp tứ giác đều có độ dài cạnh bên bằng 25cm, đáy là hình vuông ABCD cạnh 30cm. Tính diện tích toàn phần của hình chóp.
Lời giải:


Bài 41 (trang 121 SGK Toán 8 tập 2): Vẽ, cắt và gấp miếng bìa như hình đã chỉ ra ở hình 125 để được hình chóp tứ giác đều.
a) Trong hình 125a, có bao nhiêu tam giác cân bằng nhau?
b) Sử dụng định lí Pitago để tính chiều cao ứng với đáy của mỗi tam giác.
c) Diện tích xung quanh và diện tích toàn phần của hình chóp đều này là bao nhiêu?

Lời giải:
a) Trong hình 125a có 4 tam giác cân bằng nhau.


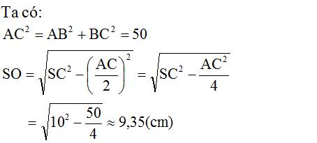
Bài 42 (trang 121 SGK Toán 8 tập 2): Tính độ dài đường cao của hình chóp tứ giác đều với các kích thước cho trên hình 125.
Lời giải:

Gọi O là giao điểm giữa hai đường chéo của hình vuông đáy.

Vậy độ dài đường cao của hình chóp tứ giác đều là 9,35cm.
Bài 43 (trang 121 SGK Toán 8 tập 2): Tính diện tích xung quanh, diện tích toàn phần của các hình chóp tứ giác đều sau đây (h.126).

Lời giải:
