Giải bài tập SBT Toán 8 bài 6: Phép trừ các phân thức đại số
Bài tập môn Toán lớp 8
Giải bài tập SBT Toán 8 bài 6: Phép trừ các phân thức đại số được VnDoc sưu tầm và đăng tải, tổng hợp lý thuyết. Đây là lời giải hay cho các câu hỏi trong sách bài tập nằm trong chương trình giảng dạy môn Toán lớp 8. Hi vọng rằng đây sẽ là những tài liệu hữu ích trong công tác giảng dạy và học tập của quý thầy cô và các em học sinh.
Giải bài tập SBT Toán 8 bài 4: Quy đồng mẫu thức nhiều phân thức
Giải bài tập SBT Toán 8 bài 5: Phép cộng các phân thức đại số
Giải bài tập SBT Toán 8 bài 7: Phép nhân các phân thức đại số
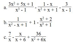
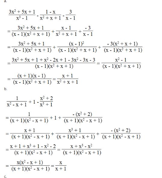
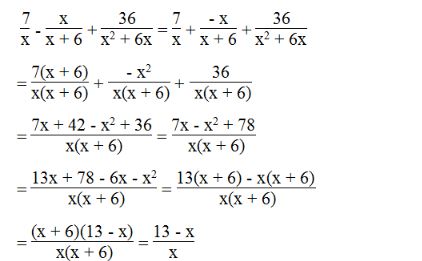
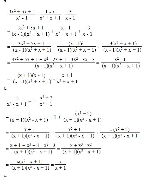
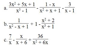
Câu 1: Rút gọn biểu thức:

Lời giải:


Câu 2: Nếu mua lẻ thì giá một bút bi là x đồng, nhưng nếu mua từ 10 bút trở lên thì giá mỗi bút rẻ hơn 100 đồng. Cô Dung dùng 180000 đồng để mua bút cho Văn phòng. Hãy biểu diễn qua x:
- Tổng số bút khi mua lẻ.
- Số bút mua được nếu mua cùng một lúc, biết rằng giá tiền một bút không quá 1200 đồng.
- Số bút được lợi khi mua cùng một lúc so với khi mua lẻ.
Lời giải:
Số bút mua được khi mua lẻ là: 180000/x (bút)
Vì giá mỗi cây bút không quá 1200 đồng nên nếu mua cùng lúc thì số bút lớn hơn 10 và mua được là:

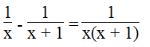
Câu 3: a. Chứng minh:![]()

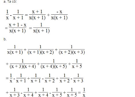
Lời giải
