Giải bài tập SBT Toán 8 bài 1: Đa giác - Đa giác đều
Bài tập môn Toán lớp 8
Giải bài tập SBT Toán 8 bài 1: Đa giác - Đa giác đều được VnDoc sưu tầm và đăng tải, tổng hợp lý thuyết. Đây là lời giải hay cho các câu hỏi trong sách bài tập nằm trong chương trình giảng dạy môn Toán lớp 8. Hi vọng rằng đây sẽ là những tài liệu hữu ích trong công tác giảng dạy và học tập của quý thầy cô và các em học sinh.
Giải bài tập SBT Toán 8 bài 12: Hình vuông
Giải bài tập SBT Toán 8 bài: Ôn tập chương I
Giải bài tập SBT Toán 8 bài 2: Diện tích hình chữ nhật
Câu 1: Trong các hình dưới đây hình nào là đa giác lồi? Vì sao?

Lời giải:
Các hình c, e, g là các đa giác lồi vì đa giác nằm trên một nửa mặt phẳng với bờ chứa bất kỳ cạnh nào của đa giác.
Câu 2: Một đa giác đều có tổng sô đo tất cả các góc ngoài và một góc trong của đa giác đó bằng 468o. Hỏi đa giác đều đó có mấy cạnh?
Lời giải:
Tổng số đo các góc ngoài của đa giác bằng 360o.
Số đo một góc trong của đa giác đều là 468o – 360o = 108o
Gọi n là số cạnh của đa giác đều. Ta có số đo mỗi góc của đa giác đều bằng 
Suy ra:
= 108o⇒ 180.n – 360 = 108.n⇒ 72n = 360⇒ n = 5
Vậy đa giác đều cần tìm có 5 cạnh.
Câu 3: Cho ví dụ về các đa giác đều mà cạnh của chúng bằng nhau.
Lời giải:
Tam giác đều, hình vuông, ngũ giác đều, lục giác đều,…
Câu 4: Chứng minh rằng số đo của một hình n-giác đều là 
Lời giải:
Vẽ một n-giác lồi, kẻ các đường chéo xuất phát từ một đỉnh của n-giác lồi thì chia đa giác đó thành (n - 2) tam giác.
Tổng các góc của n-giác lồi bằng tổng các góc của (n - 2) tam giác bằng (n - 2).180o.
Hình n-gíác đều có n góc bằng nhau nên số đo mỗi góc bằng:

Câu 5: Tính số đo của hình 8 cạnh đều, 10 cạnh đều, 12 cạnh đều.
Lời giải:
Công thức tính số đo mỗi góc của đa giác đều có n cạnh: 
- Đa giác đều 8 cạnh ⇒ n = 8, số đo mỗi góc là: ((8 – 2).180o) / 8 = 135o
- Đa giác đều 10 cạnh ⇒ n = 10, số đo mỗi góc là: ((10 – 2).180o) / 10 = 144o
- Đa giác đều 12 cạnh ⇒ n = 12, số đo mỗi góc là: ((12 – 2).180o) / 12 = 150o
Câu 6: a. Vẽ hình và tính số đường chéo của ngũ giác, lục giác
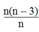
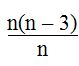
b, Chứng minh rằng hình n-giác có tất cả
đường chéo.
Lời giải:
a, Từ mỗi đỉnh của ngũ giác vẽ được 2 đường chéo. Ngũ giác có 5 đỉnh ta kê được 5.2=10 đường chéo, trong đó mỗi đường chéo được tính hai lần. Vậy ngũ giác có tất cả 5 đường chéo.
Từ mỗi đỉnh của lục giác vẽ được 3 đường chéo. Lục giác có 6 đỉnh ta kẻ được 6.3 = 18 đường chéo, trong đó mỗi đường chéo được tính hai lần. Vậy lục giác có tất cả 9 đường chéo.

b, Từ mỗi đỉnh của n-giác nối với các đình còn lại ta được n – l đoạn thẳng, trong đó có 2 đoạn thắng là cạnh của hình n-giác (hai đoạn thẳng nối với hai đỉnh kề nhau).
Vậy qua mỗi đỉnh n-giác vẽ được n-3 đường chéo. Hình n-giác có n đỉnh kẻ được n(n- 3) đường chéo, trong đó mỗi đường chéo được tính hai lần. Vậy hình n-giác có tất cả
đường chéo.
Câu 7: Tìm số đường chéo của hình 8 cạnh, 10 cạnh, 12 cạnh.
Lời giải:
Áp dụng công thức tính ở bài 6 chương này.
Đa giác có 8 cạnh, số đường chéo là: (8.(8 – 3)) / 2 = 20 đường chéo;
Đa giác có 10 cạnh, số đường chéo là: (10.(10 – 3)) / 2 = 35 đường chéo;
Đa giác có 12 cạnh, số đường chéo là: (12.(12 – 3)) / 2 = 54 đường chéo.
Câu 8: Chứng minh rằng tổng các góc ngoài của một đa giác có số đo bằng 360o.
Lời giải:
Tổng số đo của góc trong và góc ngoài ở mỗi đỉnh của hình n-giác bằng 180o. Hình n-giác có n đỉnh nên tổng số đo các góc trong và góc ngoài của đa giác bằng n.180o. Mặt khác, ta biết tổng các góc trong của hình n-giác bằng (n – 2).180o.
Vậy tổng số đo các góc ngoài của hình n-giác là:
n.180o – (n – 2).180o = n.180o – n.180o + 2.180o = 360o
Câu 9: Đa giác nào có tổng số đo các góc trong bằng tổng số đo các góc ngoài?
Lời giải:
Hình n-giác lồi có tổng số đo các góc trong bằng (n – 2).180o và tổng các góc ngoài bằng 360o.
Đa giác lồi có tổng các góc trong bằng tổng các góc ngoài bằng 360o.
⇒ (n – 2).180o = 360o ⇒n = 4
Vậy tứ giác lồi có tổng các góc trong và góc ngoài bằng nhau.
Câu 10: Đa giác có nhiều nhất là bao nhiêu góc nhọn?
Lời giải:
Ta có: nếu góc của đa giác lồi là góc nhọn thì góc ngoài tương ứng là góc tù. Nếu đa giác lồi có 4 góc nhọn thì tổng các góc ngoài của đa giác lớn hơn 360o.
Vậy đa giác lồi có nhiều nhất là 3 góc nhọn.