Giải bài tập SGK Toán lớp 8: Ôn tập chương 2
Giải bài tập Toán lớp 8: Ôn tập chương 2
Giải bài tập SGK Toán lớp 8: Ôn tập chương 2 với lời giải chi tiết, rõ ràng theo khung chương trình sách giáo khoa Toán lớp 8. Lời giải hay bài tập Toán 8 này gồm các bài giải tương ứng với từng bài học trong sách giúp cho các bạn học sinh ôn tập và củng cố các dạng bài tập, rèn luyện kỹ năng giải môn Toán. Mời các bạn tham khảo
Giải bài tập SGK Toán lớp 8 bài 7: Phép nhân các phân thức đại số
Giải bài tập SGK Toán lớp 8 bài 8: Phép chia các phân thức đại số
Giải bài tập SGK Toán lớp 8 bài 9: Biến đổi các biểu thức hữu tỉ. Giá trị của phân thức
A - Câu hỏi ôn tập chương 2
1. Định nghĩa phân thức đại số. Một đa thức có phải là một phân thức đại số không? Một số thực bất kì có phải là một phân thức đại số không?
Trả lời:
- Phân thức đại số (phân thức) là một biểu thức có dạng
\(\frac{A}{B}\)
Trong đó A, B là những đa thức, B ≠ 0. A là tử thức, B là mẫu thức.
- Một đa thức được coi như một phân thức với mẫu thức bằng 1.
- Một số thực a bất kì cũng là một phân thức đại số.
2. Định nghĩa hai phân thức đại số bằng nhau.
Trả lời:
Hai phân thức
\(\frac{A}{B}\ va\ \frac{C}{D}\)
gọi là bằng nhau nếu AD = BC.
3. Phát biểu tính chất cơ bản của phân thức đại số.
Trả lời:
Tính chất cơ bản của phân thức đại số:
- Nếu nhân cả tử và mẫu của một phân thức với cùng một đa thức khác đa thức 0 thì được một phân thức bằng phân thức đã cho:
![]()
Nếu chia cả tử và mẫu của một phân thức cho một nhân tử chung của chúng thì được một phân thức bằng phân thức đã cho:
![]()
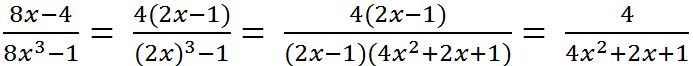
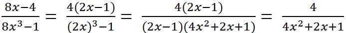
4. Nêu qui tắc rút gọn một phân thức đại số. Hãy rút gọn phân thức

Trả lời:
Qui tắc rút gọn một phân thức đại số.
- Phân tích tử và mẫu thành nhân tử (nếu cần) để tìm nhân tử chung.
- Chia cả tử và mẫu cho nhân tử chung đó.
Rút gọn:
![]()
5. Muốn qui đồng mẫu thức của nhiều phân thức có mẫu thức khác nhau làm thế nào?
Hãy qui đồng mẫu thức của hai phân thức:
![]()
Trả lời:
- Muốn qui đồng mẫu thức của nhiều phân thức ta có thể làm như sau:
+ Phân tích các mẫu thức thành nhân tử rồi tìm mẫu thức chung.
+ Tìm nhân tử phụ của mỗi mẫu thức.
+ Nhân cả tử và mẫu của mỗi phân thức với nhân tử phụ tương ứng.
- Quy đồng mẫu hai phân thức trên:
Ta có: x2 + 2x + 1 = (x + 1)2 và 5x2 - 5 = 5(x2 – 1) = 5(x -1)(x + 1)
MTC: 5(x – 1)(x + 1)2
Nhân tử phụ tương ứng: 5(x – 1)(x + 1)
Ta có:

6. Phát biểu các qui tắc: Cộng hai phân thức cùng mẫu thức, cộng hai phân thức khác mẫu thức. Làm tính cộng:
![]()
Trả lời:
- Qui tắc cộng hai phân thức cùng mẫu:
Muốn cộng hai phân thức có cùng mẫu thức, ta cộng các tử thức với nhau và giữ nguyên mẫu thức.
- Qui tắc cộng hai phân thức khác mẫu:
Muốn cộng hai phân thức có mẫu thức khác nhau, ta quy đồng mẫu thức rồi cộng các phân thức có cùng mẫu thức vừa tìm được.
- Làm tính cộng:

7. Hai phân thức như thế nào được gọi là hai phân thức đối nhau? Tìm phân thức đối của phân thức

Trả lời:
- Hai phân thức được gọi là đối nhau nếu tổng của chúng bằng 0.

8. Phát biểu qui tắc trừ hai phân thức đại số.
Trả lời:

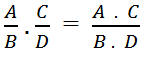
9. Phát biểu qui tắc nhân hai phân thức đại số.
Trả lời:
Muốn nhân hai phân thức, ta nhân các tử thức với nhau, các mẫu thức với nhau:
![]()
10. Cho phân thức
\(\frac{A}{B}\)
viết phân thức nghịch đảo của nó.
Trả lời:
Phân thức nghịch đảo của phân thức
\(\frac{A}{B}\) khác 0 là
\(\frac{B}{A}\)
11. Phát biểu qui tắc chia hai phân thức đại số.
Trả lời:

12. Giả sử
\(\frac{A\left(x\right)}{B\left(x\right)}\)
Là một phân thức của biến x. Hãy nêu điều kiện của biến để giá trị của phân thức được xác định.
Trả lời:
Phân thức được xác định khi biến x thỏa mãn B(x) ≠ 0.
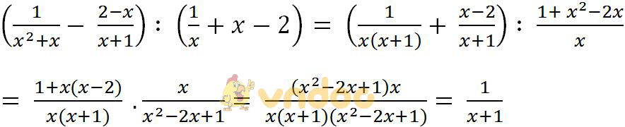
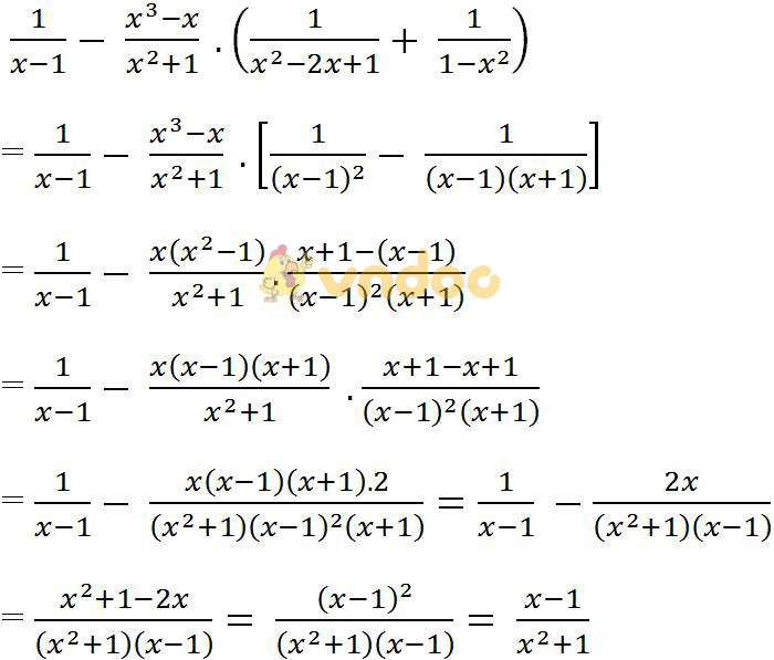
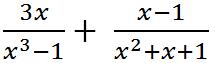
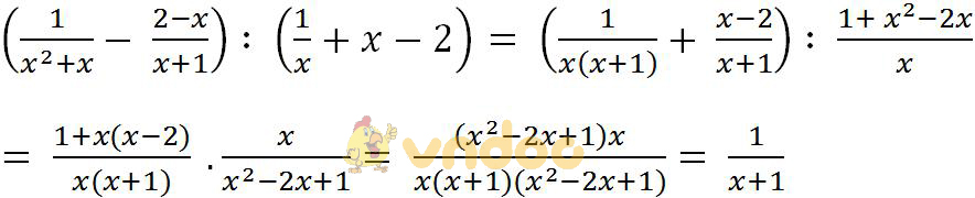
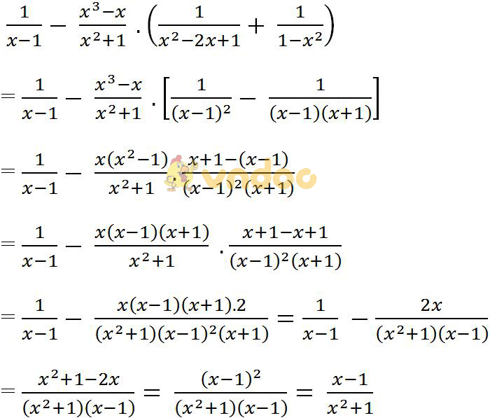
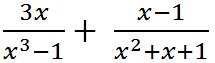
Bài 58 (trang 62 SGK Toán 8 Tập 1): Thực hiện các phép tính sau:

Lời giải:
a)

b)

c)
