Giải bài tập SGK Toán lớp 8 bài 4: Bất phương trình bậc nhất một ẩn
Giải bài tập Toán lớp 8 bài 4: Bất phương trình bậc nhất một ẩn
Giải bài tập SGK Toán lớp 8 bài 4: Bất phương trình bậc nhất một ẩn với lời giải chi tiết, rõ ràng theo khung chương trình sách giáo khoa Toán lớp 8. Lời giải hay bài tập Toán 8 này gồm các bài giải tương ứng với từng bài học trong sách giúp cho các bạn học sinh ôn tập và củng cố các dạng bài tập, rèn luyện kỹ năng giải môn Toán. Mời các bạn tham khảo
Giải bài tập SGK Toán lớp 8 bài 1: Liên hệ giữa thứ tự và phép cộng
Giải bài tập SGK Toán lớp 8 bài 2: Liên hệ giữa thứ tự và phép nhân
Trả lời câu hỏi Toán 8 Tập 2 Bài 4 trang 43: Trong các bất phương trình sau, hãy cho biết bất phương trình nào là bất phương trình bậc nhất một ẩn:
a) 2x – 3 < 0;
b) 0 . x + 5 > 0;
c) 5x – 15 ≥ 0;
d) x2 > 0.
Lời giải
Các bất phương trình a, b, c là các bất phương trình bậc nhất một ẩn
Trả lời câu hỏi Toán 8 Tập 2 Bài 4 trang 44: Giải các bất phương trình sau:
a) x + 12 > 21;
b) -2x > -3x – 5.
Lời giải
a) x + 12 > 21 ⇔ x > 21 - 12 ⇔ x > 9
Vậy tập nghiệm của bất phương trình x + 12 > 21 là {x|x > 9}
b) -2x > -3x – 5 ⇔ -2x + 3x > -5 ⇔ x > -5
Vậy tập nghiệm của bất phương trình -2x > -3x – 5 là {x|x > -5}
Trả lời câu hỏi Toán 8 Tập 2 Bài 4 trang 45: Giải các bất phương trình sau (dùng quy tắc nhân):
a) 2x < 24;
b) -3x < 27.
Lời giải
a) 2x < 24 ⇔ 2x.
\(\frac{1}{2}\)< 24.
\(\frac{1}{2}\) ⇔ x < 12
Vậy tập nghiệm của bất phương trình 2x < 24 là {x|x < 12}
b) -3x < 27 ⇔ -3x.
\(\frac{-1}{3}\)> 27.
\(\frac{-1}{3}\) ⇔ x > -9
Vậy tập nghiệm của bất phương trình - 3x < 27 là {x|x > -9}
Trả lời câu hỏi Toán 8 Tập 2 Bài 4 trang 45: Giải thích sự tương đương:
a) x + 3 < 7 ⇔ x – 2 < 2;
b) 2x < - 4 ⇔ -3x > 6.
Lời giải
a) x + 3 < 7 ⇔ x + 3 - 5 < 7-5 ⇔ x – 2 < 2
b) 2x < -4 ⇔ 2x.
\(\frac{-3}{2}\)> -4.
\(\frac{-3}{2}\)⇔ -3x > 6
Trả lời câu hỏi Toán 8 Tập 2 Bài 4 trang 46: Giải bất phương trình - 4x – 8 < 0 và biểu diễn tập nghiệm trên trục số.
Lời giải
- 4x – 8 < 0 ⇔ -4x < 8 ⇔ x > -2
Vậy tập nghiệm của bất phương trình -4x – 8 < 0 là {x|x > -2}
Biểu diễn trên trục số
Trả lời câu hỏi Toán 8 Tập 2 Bài 4 trang 46: Giải bất phương trình -0,2x – 0,2 > 0,4x – 2.
Lời giải
- 0,2x – 0,2 > 0,4x – 2
⇔ 0,4x – 2 < -0,2x – 0,2
⇔ 0,4x + 0,2x < -0,2 + 2
⇔ 0,6x < 1,8
⇔ x < 3
Vậy tập nghiệm của bất phương trình -0,2x – 0,2 > 0,4x – 2 là {x|x < 3}

Bài 19 (trang 47 SGK Toán 8 tập 2): Giải các bất phương trình (theo quy tắc chuyển vế):
a) x - 5 > 3
b) x - 2x < -2x + 4
c) -3x > -4x + 2
d) 8x + 2 < 7x - 1
Lời giải:
(Áp dụng quy tắc: chuyển vế - đổi dấu)
a) x - 5 > 3
⇔ x > 3 + 5 (chuyển -5 từ vế trái sang vế phải và đổi dấu thành 5)
⇔ x > 8
Vậy nghiệm của bất phương trình là x > 8.
b) x - 2x < -2x + 4 ⇔ x - 2x + 2x < 4 ⇔ x < 4
Vậy nghiệm của bất phương trình là x < 4.
c) -3x > -4x + 2 ⇔ -3x + 4x > 2 ⇔ x > 2
Vậy nghiệm của bất phương trình là x > 2.
d) 8x + 2 < 7x - 1 ⇔ 8x - 7x < -1 - 2 ⇔ x < -3
Vậy nghiệm của bất phương trình là x < -3.
Bài 20 (trang 47 SGK Toán 8 tập 2): Giải các bất phương trình (theo quy tắc nhân):
a) 0,3x > 0,6 ; b) -4x < 12
c) -x > 4 ; d) 1,5x > -9
Lời giải:
(Áp dụng quy tắc nhân: nhân hai vế với số dương thì giữ nguyên chiều của bất phương trình; nhân với số âm thì đổi chiều của bất phương trình.)

Bài 21 (trang 47 SGK Toán 8 tập 2): Giải thích sự tương đương sau:
a) x - 3 > 1 ⇔ x + 3 > 7
b) -x < 2 ⇔ 3x > -6
Lời giải:
a) Hai bất phương trình tương đương vì cộng 6 vào cả 2 vế.
b) Hai bất phương trình tương đương vì nhân cả hai vế của bất phương trình ban đầu với -3 và đổi chiều bất phương trình đó.
Bài 22 (trang 47 SGK Toán 8 tập 2): Giải các bất phương trình và biểu diễn tập nghiệm trên trục số:
a) 1,2x < -6 ; b) 3x + 4 > 2x + 3
Lời giải:

a) 1,2x < -6 ⇔ x < -6 : 1,2 ⇔ x < - 5
Vậy tập nghiệm của bất phương trình là S = {x ∈ R| x < -5}
b) 3x + 4 > 2x + 3
⇔ 3x - 2x > 3 - 4 ⇔ x > -1
Vậy tập nghiệm của bất phương trình là S = {x ∈ R | x > -1}
Bài 23 (trang 47 SGK Toán 8 tập 2): Giải các bất phương trình và biểu diễn tập nghiệm trên trục số:
a) 2x - 3 > 0; b) 3x + 4 < 0
c) 4 - 3x ≤ 0; d) 5 - 2x ≥ 0
Lời giải:


Bài 24 (trang 47 SGK Toán 8 tập 2): Giải các bất phương trình:
a) 2x - 1 > 5; b) 3x - 2 < 4
c) 2 - 5x ≤ 17; d) 3 - 4x ≥ 19
Lời giải:
a) 2x - 1 > 5 ⇔ 2x > 1 + 5
⇔ 2x > 6 ⇔ x > 3
Vậy nghiệm của bất phương trình là x > 3
b) 3x - 2 < 4 ⇔ 3x < 4 + 2
⇔ 3x < 6 ⇔ x < 2
Vậy nghiệm của bất phương trình là x < 2
c) 2 - 5x ≤ 17 ⇔ -5x ≤ 17 - 2 ⇔ -5x ≤ 15
⇔ x ≥ 15 : (-5) ⇔ x ≥ -3
Vậy nghiệm của bất phương trình là x ≥ - 3
d) 3 - 4x ≥ 19 ⇔ -4x ≥ 19 - 3 ⇔ -4x ≥ 16
⇔ x ≤ 16 : (-4) ⇔ x ≤ -4
Vậy nghiệm của bất phương trình là x ≤ -4
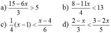
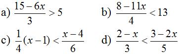
Bài 25 (trang 47 SGK Toán 8 tập 2): Giải các bất phương trình:

Lời giải:

Bài 26 (trang 47 SGK Toán 8 tập 2): Hình vẽ sau biểu diễn tập nghiệm của bất phương trình nào? (Kể ba bất phương trình có cùng tập nghiệm).

Lời giải:
a) Hình biểu diễn tập nghiệm của bất phương trình:
x ≤ 12 hoặc 0,5x ≤ 6 hoặc x + 4 ≤ 16 hoặc -x ≥ -12
b) Hình biểu diễn tập nghiệm của bất phương trình:
x ≥ 8 hoặc x + 3 ≥ 11 hoặc -x ≤ -8
Bài 27 (trang 48 SGK Toán 8 tập 2): Đố: Kiểm tra xem giá trị x = -2 có là nghiệm của bất phương trình sau không?

Lời giải:
a) x + 2x2 - 3x3 + 4x4 - 5 < 2x2 - 3x3 + 4x4 - 6
⇔ x < 2x2 - 3x3 + 4x4 - 6 - 2x2 + 3x3 - 4x4 + 5 (chuyển vế - đổi dấu)
⇔ x < -1 (*)
Thay x = -2 vào (*) ta được: -2 < -1 (đúng)
Vậy x = -2 là nghiệm của bất phương trình.
b) (-0,001)x > 0,003
⇔ x < -3 (**) (chia cả hai vế cho -0,001)
Thay x = -2 vào (**) ta được: -2 < -3 (sai)
Vậy x = -2 không là nghiệm của bất phương trình.
Bài 28 (trang 48 SGK Toán 8 tập 2): Cho bất phương trình x2 > 0.
a) Chứng tỏ x = 2, x = -3 là nghiệm của bất phương trình đã cho.
b) Có phải mọi giá trị của ẩn x đều là nghiệm của bất phương trình đã cho hay không?
Lời giải:
a) Thay x = 2 vào bất phương trình ta được:
22 > 0 ⇔ 4 > 0 (đúng)
Thay x = -3 vào bất phương trình ta được:
(-3)2 > 0 ⇔ 9 > 0 (đúng)
Vậy x = 2, x = -3 là nghiệm của bất phương trình đã cho.
b) Với x = 0 thì bất phương trình trở thành:
02 > 0 ⇔ 0 > 0 (sai)
Vậy không phải mọi giá trị của ẩn đều là nghiệm của bất phương trình.
Bài 29 (trang 48 SGK Toán 8 tập 2): Tìm x sao cho:
a) Giá trị của biểu thức 2x - 5 không âm.
b) Giá trị của biểu thức -3x không lớn hơn giá trị của biểu thức -7x + 5.
Lưu ý:
- không âm tức là ≥ 0
- không lớn hơn tức là ≤
Lời giải:

Bài 30 (trang 48 SGK Toán 8 tập 2): Một người có số tiền không quá 70000 đồng gồm 15 tờ giấy bạc với hai loại mệnh giá: loại 2000 đồng và loại 5000 đồng. Hỏi người đó có bao nhiêu tờ giấy bạc loại 5000 đồng?
Lời giải:
Gọi x là số tờ giấy bạc loại 5000 đồng.
Số tờ giấy bạc loại 2000 đồng là 15 - x (=> điều kiện 0 < x < 15; nguyên)
Vì số tiền không quá 70000 nên:

Vì x là số nguyên dương nên x có thể là số nguyên dương từ 1 đến 13. Hay x có thể nhận các giá trị là {1; 2; 3; ...; 13}
Vậy số tờ giấy bạc loại 5000 đồng người ấy có thể có là các số nguyên dương thỏa mãn 1 ≤ x ≤ 13.
Bài 31 (trang 48 SGK Toán 8 tập 2): Giải các bất phương trình và biểu diễn tập nghiệm trên trục số:

Lời giải:
(Trong phần giải mình có làm tắt một số bước. Chẳng hạn mình bỏ qua bước chuyển vế đổi dấu hoặc chia hai vế cho cùng một số.)


Bài 32 (trang 48 SGK Toán 8 tập 2): Giải các bất phương trình:
a) 8x + 3(x + 1) > 5x - (2x - 6)
b) 2x(6x - 1) > (3x - 2)(4x + 3)
Lời giải:

Bài 33 (trang 48-49 SGK Toán 8 tập 2): Đố: Trong một kì thi, bạn Chiến phải thi bốn môn Văn, Toán, Tiếng Anh và Hóa. Chiến đã thi ba môn và được kết quả như bảng sau:

Kỳ thi quy định muốn đạt loại giỏi phải có điểm trung bình các môn thi là 8 trở lên và không có môn nào bị điểm dưới 6. Biết môn Văn và Toán được tính hệ số 2. Hãy cho biết, để đạt loại giỏi bạn Chiến phải có điểm thi môn Toán ít nhất là bao nhiêu điểm?
Lời giải:
Gọi x là điểm thi môn Toán, theo đề bài ta có điều kiện: 6 ≤ x ≤ 10

Vậy để đạt được loại giỏi thì bạn Chiến phải có điểm thi môn Toán thấp nhất là 7,5 điểm.
Bài 34 (trang 49 SGK Toán 8 tập 2): Đố: Tìm sai lầm trong các "lời giải" sau:

Lời giải:
a) Sai lầm là coi -2 là hạng từ và chuyển vế hạng tử này trong khi -2 là một nhân tử.
Lời giải đúng:
-2x > 23
⇔ x < 23 : (-2) (chia cho số âm nên đổi chiều)
⇔ x < 11,5
Vậy nghiệm của bất phương trình là x < 11,5
