Giải bài tập SGK Toán lớp 8 bài 6: Thể tích của hình lăng trụ đứng
Giải bài tập Toán lớp 8 bài 6: Thể tích của hình lăng trụ đứng
Giải bài tập SGK Toán lớp 8 bài 6: Thể tích của hình lăng trụ đứng với lời giải chi tiết, rõ ràng theo khung chương trình sách giáo khoa Toán lớp 8. Lời giải hay bài tập Toán 8 này gồm các bài giải tương ứng với từng bài học trong sách giúp cho các bạn học sinh ôn tập và củng cố các dạng bài tập, rèn luyện kỹ năng giải môn Toán. Mời các bạn tham khảo
Giải bài tập SGK Toán lớp 8 bài 3: Thể tích của hình hộp chữ nhật
Giải bài tập SGK Toán lớp 8 bài 4: Hình lăng trụ đứng
Giải bài tập SGK Toán lớp 8 bài 5: Diện tích xung quanh của hình lăng trụ đứng
Trả lời câu hỏi Toán 8 Tập 2 Bài 6 trang 112: Quan sát các lăng trụ đứng ở hình 106
- So sánh thể tích của lăng trụ đứng tam giác và thể tích hình hộp chữ nhật.
- Thể tích lăng trụ đứng tam giác có bằng diện tích đáy nhân với chiều cao hay không? Vì sao?

Lời giải
- Thể tích lăng trụ đứng tam giác bằng một nửa thể tích hình hộp chữ nhật
- Thể tích lăng trụ đứng tam giác có bằng diện tích đáy nhân với chiều cao
Vì thể tích hình hộp chữ nhật là: 5.4.7 = 140
⇒ thể tích lăng trụ đứng tam giác là 140 : 2 = 70
Diện tích đáy lăng trụ đứng tam giác là:
\(\frac{1}{2}\). 5 .4 = 10
Chiều cao lăng trụ đứng tam giác là 7
Mà 70 = 10 .7
Bài 27 (trang 113 SGK Toán 8 tập 2): Quan sát hình 108 rồi điền số thích hợp vào các ô trống ở bảng sau:

Lời giải:


Bài 28 (trang 114 SGK Toán 8 tập 2): Thùng đựng của một máy cắt cỏ có dạng lăng trụ đứng tam giác (h.109). Hãy tính dung tích của thùng.

Lời giải:
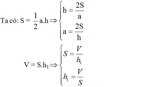
Lăng trụ đứng tam giác có đáy là tam giác vuông, nên diện tích đáy là:
![]()
Thể tích lăng trụ V = Sh = 2700.70 = 189000 (cm3)
Vậy dung tích của thùng là 189000cm3
Bài 29 (trang 114 SGK Toán 8 tập 2): Các kích thước của một bể bới được cho trên hình 110 (mặt nước có dạng hình chữ nhật). Hãy tính xem bể chứa được bao nhiêu mét khối nước khi nó đầy ắp nước?

Lời giải:
Bể bơi được chia thành hai phần: phần hình hộp chữ nhật với các kích thước la 10m, 25m, 2m; phần hình lăng trụ đứng với đáy là tam giác vuông có hai cạnh góc vuông là 2m, 7m, chiều cao 10m.
Thể tích hình hộp chữ nhật là:
V = 10.25.2= 500 (m3)
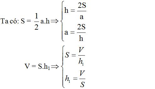
Thể tích lăng trụ đứng tam giác:
![]()
Vậy thể tích bể bơi khi đầy ắp nước là:
500 + 70 = 570m3
Bài 30 (trang 114 SGK Toán 8 tập 2): Các hình a, b, c (h.111) gồm một hoặc nhiều lăng trụ đứng. Hãy tính thể tích và diện tích toàn phần của chúng theo các kích thước đã cho trên hình.

Lời giải:


Bài 31 (trang 115 SGK Toán 8 tập 2): Điền số thích hợp vào ô trống ở bảng sau:

Lời giải:

Giải thích:


Bài 32 (trang 115 SGK Toán 8 tập 2): Hình 112b biểu diễn một lưỡi rìu bằng sắt, nó có dạng một lăng trụ đứng, BDC là một tam giác cân.
a) Hãy vẽ thêm nét khuất, điền thêm chữ vào các đỉnh rồi cho biết AB song song với những cạnh nào?
b) Tính thể tích lưỡi rìu.
c) Tính khối lượng của lưỡi rìu, biết khối lương riêng của sắt là 7,874 kg/dm3 (phần cán gỗ bên trong lưỡi rìu là không đáng kể).

Lời giải:
a) Vẽ thêm nét khuất, ta được hình sau. Cạnh AB song song với những cạnh FC, ED.


Bài 33 (trang 115 SGK Toán 8 tập 2): Hình 113 là một lăng trụ đứng, đáy là hình thang vuông.
Hãy kể tên:
a) Các cạnh song song với cạnh AD.
b) Cạnh song song với cạnh AB.
c) Các đường thẳng song song với mặt phẳng (EFGH).
d) Các đường thẳng song song với mặt phẳng (DCGH).

Lời giải:
a) Các cạnh song song với cạnh AD là EH, BC, FG.
b) Các cạnh song song với cạnh AB là EF.
c) Các đường thẳng song song với mặt phẳng (EFGH) là: AD, BC, AB, CD.
d) Các đường thẳng song óng với mặt phẳng (DCGH): AE, BF.
Bài 34 (trang 116 SGK Toán 8 tập 2): Tính thể tích của hộp xà phòng và hộp sô-cô-la trên hình 114, biết:
a) Diện tích đáy hộp xà phòng là 28cm2 (h.114a).
b) Diện tích tam giác ABC ở hình 114b là 12cm2.

Lời giải:

Bài 35 (trang 116 SGK Toán 8 tập 2): Đáy của một lăng trụ đứng là tứ giác, các kích thước cho theo hình 115. Biết chiều cao của lăng trụ là 10cm. Hãy tính thể tích của nó.

Lời giải:
