Giải bài tập SBT Toán 8 bài 2: Tính chất cơ bản của phân thức
Bài tập môn Toán lớp 8
Giải bài tập SBT Toán 8 bài 2: Tính chất cơ bản của phân thức được VnDoc sưu tầm và đăng tải, tổng hợp lý thuyết. Đây là lời giải hay cho các câu hỏi trong sách bài tập nằm trong chương trình giảng dạy môn Toán lớp 8. Hi vọng rằng đây sẽ là những tài liệu hữu ích trong công tác giảng dạy và học tập của quý thầy cô và các em học sinh.
Giải bài tập SBT Toán 8 bài: Ôn tập chương 1
Giải bài tập SBT Toán 8 bài 1: Phân thức đại số
Giải bài tập SBT Toán 8 bài 3: Rút gọn phân thức
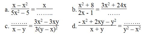
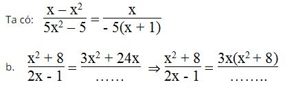
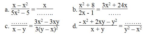
Câu 1: Dùng tính chất cơ bản của phân thức, hãy điền một đa thức thích hợp vào các chỗ vào các chỗ trống trong mỗi đẳng thức sau:

Lời giải:
a, Từ tử thức hai vế chứng tỏ tử thức vế trái đã chia cho 1 – x nên mẫu thức phải chia cho 1 – x mà 5x2– 5 = 5(x – 1)(x + 1) = - 5(1 – x)(x+ 1)
Vậy đa thức cần điền vào chỗ trống là – 5(x + 1)

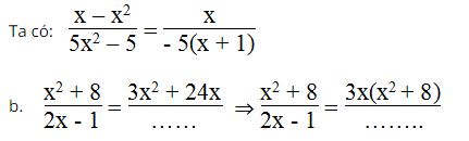
Từ tử thức hai vế chứng tỏ tử thức vế trái được nhân với 3x nên mẫu thức cũng nhân với 3x.
Vậy đa thức cần điền vào chỗ trống là 3x(2x – 1) = 6x2 – 3x

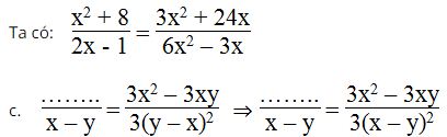
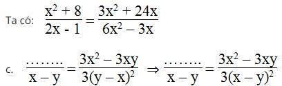
Từ mẫu thức hai vế chứng tỏ mẫu thức vế trái được nhân với 3(x – y) nên tử cũng được nhân với 3(x – y) mà 3x2 – 3xy = 3(x – y)
Vậy đa thức cần điền vào chỗ trống là x.

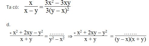
Từ mẫu thức hai vế chứng tỏ mẫu thức vế trái nhân thêm y – x nên tử phải nhân với y – x
Vậy đa thức cần điền là (- x + 2xy – y2)(y – x)
Ta có: (- x + 2xy – y2)(y – x)
= - x2y + x3 + 2xy2 – 2x2y – y3 + xy2
= x3 – 3x2y + 3xy2 – y3 = (x – y)3
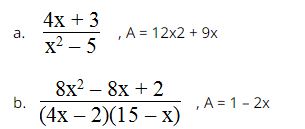
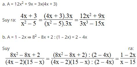
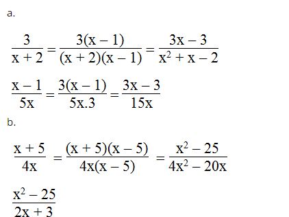
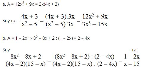
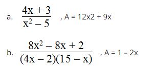
Câu 2: Biến đồi mỗi phân thức sau thành một phân thức bằng nó có từ là đa thức A cho trước:

Lời giải:

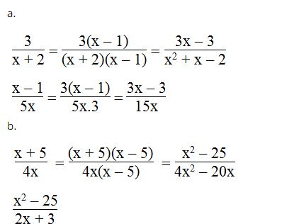
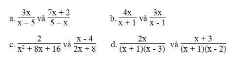
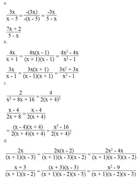
Câu 3: Dùng tính chất cơ bản của phân thức để biến đổi mỗi cặp phân thức sau thành cặp phân thức bằng nó và có cùng tử thức:

Lời giải:

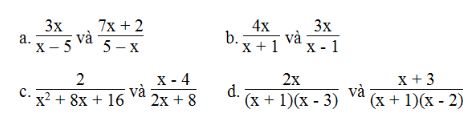
Câu 4: Dùng tính chất cơ bản của phân thức hoặc quy tắc đổi dấu để biến đổi mỗi cặp phân thức sau thành cặp phân thức bằng nó và có cùng mẫu thức:

Lời giải:
