Giải bài tập SBT Toán 8 bài 4: Quy đồng mẫu thức nhiều phân thức
Bài tập môn Toán lớp 8
Giải bài tập SBT Toán 8 bài 4: Quy đồng mẫu thức nhiều phân thức được VnDoc sưu tầm và đăng tải, tổng hợp lý thuyết. Đây là lời giải hay cho các câu hỏi trong sách bài tập nằm trong chương trình giảng dạy môn Toán lớp 8. Hi vọng rằng đây sẽ là những tài liệu hữu ích trong công tác giảng dạy và học tập của quý thầy cô và các em học sinh.
Giải bài tập SBT Toán 8 bài 2: Tính chất cơ bản của phân thức
Giải bài tập SBT Toán 8 bài 3: Rút gọn phân thức
Giải bài tập SBT Toán 8 bài 5: Phép cộng các phân thức đại số
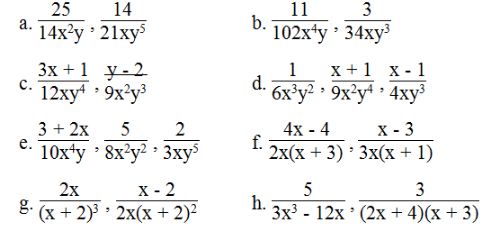
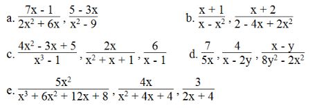
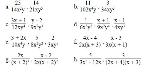
Câu 1: Quy đồng mẫu thức các phân thức sau:

Lời giải




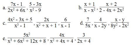
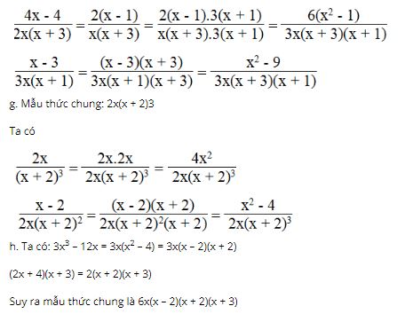
Câu 2: Quy đồng mẫu thức các phân thức:

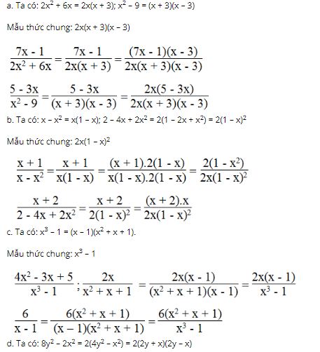
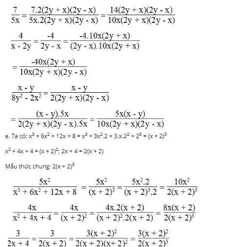
Lời giải:


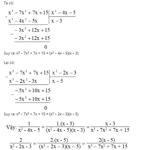
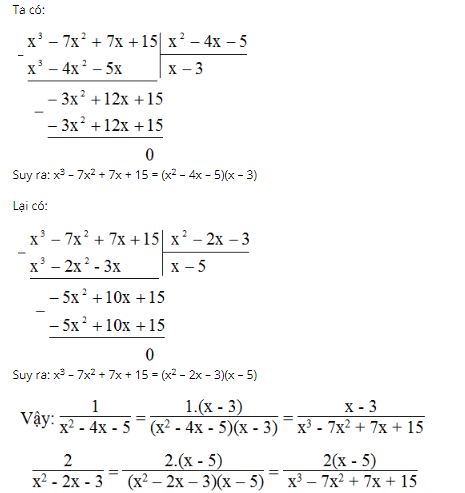
Câu 3: Cho hai phân thức
Chứng tỏ rằng có thể chọn đa thức x3 – 7x2 + 7x + 15 làm mẫu thức chung để quy đồng mẫu thức của hai phân thức đã cho. Hãy quy đồng mẫu thức.
Lời giải:
