Giải bài tập SGK Toán lớp 8 bài 7: Phép nhân các phân thức đại số
Giải bài tập Toán lớp 8 bài 7: Phép nhân các phân thức đại số
Giải bài tập SGK Toán lớp 8 bài 7: Phép nhân các phân thức đại số với lời giải chi tiết, rõ ràng theo khung chương trình sách giáo khoa Toán lớp 8. Lời giải hay bài tập Toán 8 này gồm các bài giải tương ứng với từng bài học trong sách giúp cho các bạn học sinh ôn tập và củng cố các dạng bài tập, rèn luyện kỹ năng giải môn Toán. Mời các bạn tham khảo
Giải bài tập SGK Toán lớp 8 bài 4: Quy đồng mẫu thức nhiều phân thức
Giải bài tập SGK Toán lớp 8 bài 5: Phép cộng các phân thức đại số
Giải bài tập SGK Toán lớp 8 bài 6: Phép trừ các phân thức đại số
Trả lời câu hỏi Toán 8 Tập 1 Bài 7 trang 51: Cho hai phân thức:
\(\frac{3x^2}{x+5}\ vs\ \frac{x^2-25}{6x^3}\)
Cũng làm như nhân hai phân số, hãy tử với tử và mẫu với mẫu của hai phân thức này để được một phân thức.
Lời giải:
\(\frac{3x^2}{x+5}\ .\ \frac{x^2-25}{6x^3}=\ \frac{3x^2\left(x^2-25\right)}{\left(x+5\right).6x^3}=\frac{3x^2\left(x+5\right)\left(x-5\right)}{\left(x+5\right).6x^3}=\frac{x-5}{2x}\)
Trả lời câu hỏi Toán 8 Tập 1 Bài 7 trang 52: Làm tính nhân phân thức:
\(\frac{\left(x-13\right)^2}{2x^5}.\left(-\frac{3x^2}{x-13}\right)\)
Lời giải:
\(\frac{\left(x-13\right)^2}{2x^5}.\left(-\frac{3x^2}{x-13}\right)=\frac{\left(x-13\right)^2\left(-3x^2\right)}{2x^5\left(x-13\right)}=\frac{-3\left(x-13\right)}{2x^3}\)
Trả lời câu hỏi Toán 8 Tập 1 Bài 7 trang 52: Thực hiện phép tính:
\(\frac{x^2+6x+9}{1-x}.\frac{\left(x-1\right)^3}{2\left(x+3\right)^3}\)
Lời giải
\(\frac{x^2+6x+9}{1-x}.\frac{\left(x-1\right)^3}{2\left(x+3\right)^3}=\frac{\left(x+3\right)^2.\left(x-1\right)^3}{-\left(x-1\right)2\left(x+3\right)^3}=\frac{\left(x-1\right)^2}{-2\left(x+3\right)}\)
Trả lời câu hỏi Toán 8 Tập 1 Bài 7 trang 52: Tính nhanh:
\(\frac{3x^5+5x^3+1}{x^4-7x^2+2}.\frac{x}{2x+3}.\frac{x^4-7x^2+2}{3x^5+5x^3+1}\)
Lời giải
\(\frac{3x^5+5x^3+1}{x^4-7x^2+2}.\frac{x}{2x+3}.\frac{x^4-7x^2+2}{3x^5+5x^3+1}\)
\(=\frac{\left(3x^5+5x^3+1\right)x\left(x^4-7x^2+2\right)}{\left(x^4-7x^2+2\right)\left(2x+3\right)\left(3x^5+5x^3+1\right)}=\frac{x}{2x+3}\)
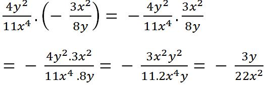
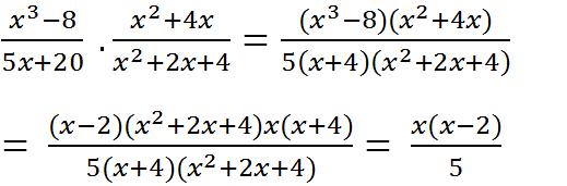
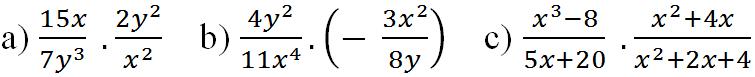
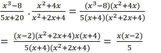
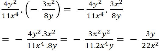
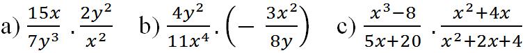
Bài 38 (trang 52 SGK Toán 8 Tập 1): Thực hiện các phép tính sau:
![]()
Lời giải:
a)
\(\frac{15x}{7y^3}.\frac{2y^2}{x^2}=\frac{15x.2y^2}{7y^3.x^2}=\frac{30xy^2}{7y^3.x^2}=\frac{30}{7xy}\)
b)

c)

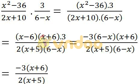
Bài 39 (trang 52 SGK Toán 8 Tập 1): Thực hiện các phép tính sau (chú ý về dấu):
![]()
Lời giải:
a)

b)

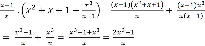
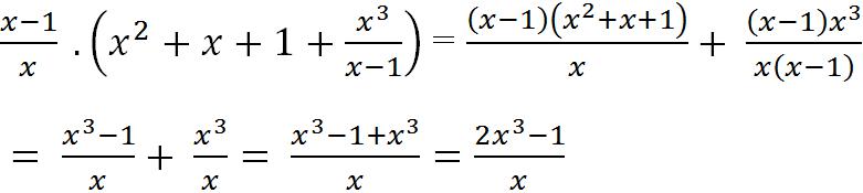
Bài 40 (trang 53 SGK Toán 8 Tập 1): Rút gọn biểu thức sau theo hai cách (sử dụng và không sử dụng tính chất phân phối của phép nhân đối với phép cộng).
\(\frac{x-1}{1}.\left(x^2+\ x\ +\ 1\ +\ \frac{x^3}{x-1}\right)\)
Lời giải:
- Áp dụng tính phân phối:

- Không áp dụng tính phân phối:

Bài 41 (trang 53 SGK Toán 8 Tập 1): Đố. Đố em điền được vào chỗ trống của dãy phép nhân dưới đây những phân thức có mẫu thức bằng tử thức cộng 1:
Lời giải:
\(\frac{1}{x}.\frac{x}{x+1}.\frac{x+1}{x+2}.\frac{x+2}{x+3}.\frac{x+3}{x+4}.\frac{x+4}{x+5}.\frac{x+5}{x+6}.\frac{x+6}{x+7}=\frac{1}{x+7}\)
(Chúng ta làm theo quy tắc: mẫu số của phân số bên trái sẽ giản ước với tử số của phân số bên phải liền sau nó. Cứ làm như vậy cho đến khi mẫu số của phân số cuối cùng bằng với mẫu số của phân số kết quả. Trong bài này là x + 7