Giải bài tập SGK Toán lớp 8 bài 6: Phép trừ các phân thức đại số
Giải bài tập Toán lớp 8 bài 6: Phép trừ các phân thức đại số
Giải bài tập SGK Toán lớp 8 bài 6: Phép trừ các phân thức đại số với lời giải chi tiết, rõ ràng theo khung chương trình sách giáo khoa Toán lớp 8. Lời giải hay bài tập Toán 8 này gồm các bài giải tương ứng với từng bài học trong sách giúp cho các bạn học sinh ôn tập và củng cố các dạng bài tập, rèn luyện kỹ năng giải môn Toán. Mời các bạn tham khảo
Giải bài tập SGK Toán lớp 8 bài 2: Tính chất cơ bản của phân thức
Giải bài tập SGK Toán lớp 8 bài 3: Rút gọn phân thức
Giải bài tập SGK Toán lớp 8 bài 4: Quy đồng mẫu thức nhiều phân thức
Giải bài tập SGK Toán lớp 8 bài 5: Phép cộng các phân thức đại số
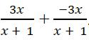
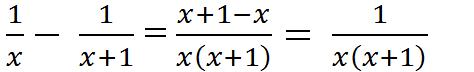
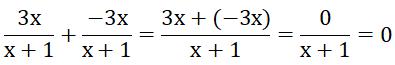
Trả lời câu hỏi Toán 8 Tập 1 Bài 6 trang 48: Làm tính cộng:
Lời giải![]()
Trả lời câu hỏi Toán 8 Tập 1 Bài 6 trang 49: Tìm phân thức đối của
![]()
Lời giải
Phân thức đối của
![]()
Trả lời câu hỏi Toán 8 Tập 1 Bài 6 trang 49: Làm tính trừ phân thức

Lời giải

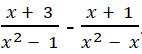
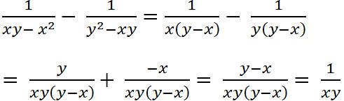
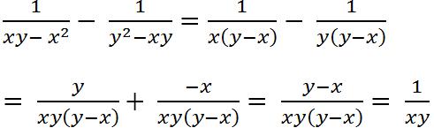
Trả lời câu hỏi Toán 8 Tập 1 Bài 6 trang 49: Thực hiện phép tính
![]()
Lời giải
Bài 28 (trang 49 SGK Toán 8 Tập 1): Theo qui tắc đổi dấu ta có

Áp dụng điều này hãy điền những phân thức thích hợp vào những chỗ trống dưới đây:
![]()
Lời giải:
Các phân thức cần điền là:

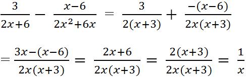
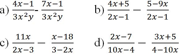
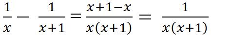
Bài 29 (trang 50 SGK Toán 8 Tập 1): Làm tính trừ các phân thức sau:

Lời giải:

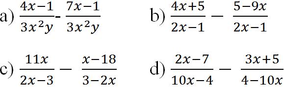
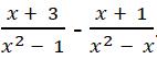
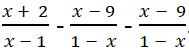
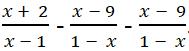
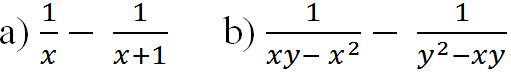
Bài 30 (trang 50 SGK Toán 8 Tập 1): Thực hiện các phép tính sau:
![]()
Lời giải:
a)

b)
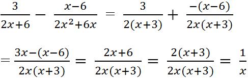
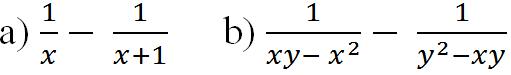
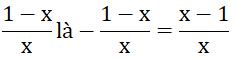
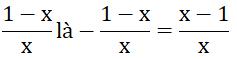
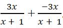
Bài 31 (trang 50 SGK Toán 8 Tập 1): Chứng tỏ rằng mỗi hiệu sau đây bằng một phân thức có tử bằng 1:
![]()
Lời giải:
a)

b)

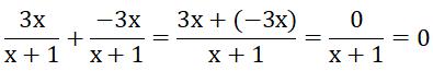
Bài 32 (trang 50 SGK Toán 8 Tập 1): Đố. Đố em tính nhanh được tổng sau:
