Giải bài tập SBT Toán 8 bài 7: Phép nhân các phân thức đại số
Bài tập môn Toán lớp 8
Giải bài tập SBT Toán 8 bài 7: Phép nhân các phân thức đại số được VnDoc sưu tầm và đăng tải, tổng hợp lý thuyết. Đây là lời giải hay cho các câu hỏi trong sách bài tập nằm trong chương trình giảng dạy môn Toán lớp 8. Hi vọng rằng đây sẽ là những tài liệu hữu ích trong công tác giảng dạy và học tập của quý thầy cô và các em học sinh.
Giải bài tập SBT Toán 8 bài 5: Phép cộng các phân thức đại số
Giải bài tập SBT Toán 8 bài 6: Phép trừ các phân thức đại số
Giải bài tập SBT Toán 8 bài 8: Phép chia các phân thức đại số
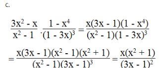
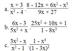
Câu 1: Rút gọn các biểu thức (chú ý dùng quy tắc đổi dấu để thay nhân tử chung)
Lời giải:


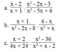
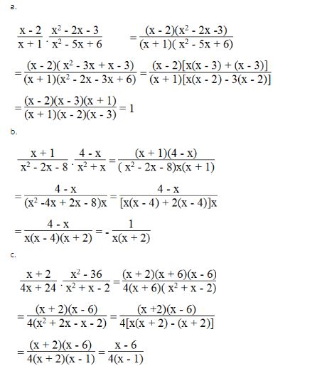
Câu 2: Phân tích các mẫu thức và các mẫu thức (nếu cần thì dùng phương pháp thêm và bớt cùng một hạng tử hoặc một hạng tử thành hai hạng tử) rồi rút gọn biểu thức.

Lời giải:

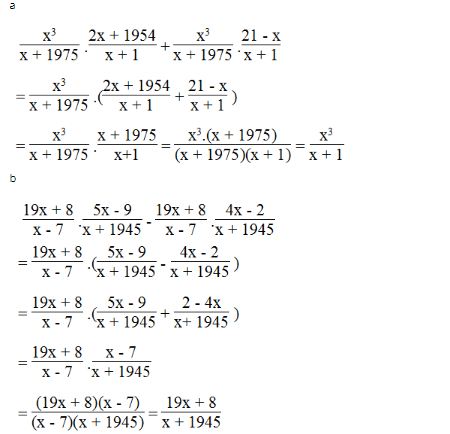
Câu 3: Áp dụng tính chất phân phối của phép nhân đối với phép cộng để rút gọn biểu thức:

Lời giải:

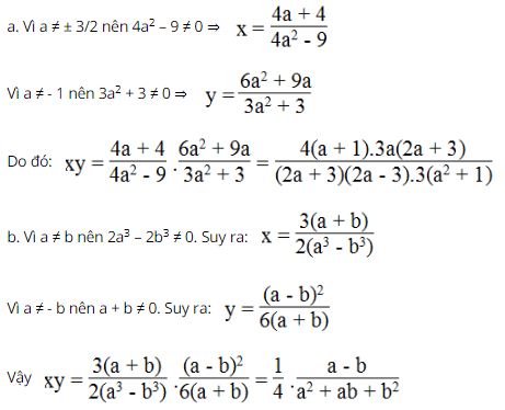
Câu 4: Tính tích x.y, biết rằng x và y thỏa mãn các đẳng thức sau (a, b là các hằng số):
a, (4a2 – 9)x = 4a + 4; với a ≠ ± 3/2 và (3a3 + 3)y = 6a2 + 9a với a ≠ - 1
b, (2a3 – 2b3)x – 3b = 3a; với a ≠ b và (6a + 6b)y = (a – b)2 với a ≠ - b
Lời giải:

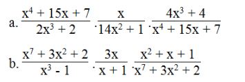
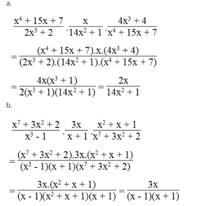
Câu 5: Rút gọn biểu thức:

Lời giải:
