Giải bài tập SGK Toán lớp 8 bài 2: Diện tích hình chữ nhật
Giải bài tập Toán lớp 8 bài 2: Diện tích hình chữ nhật
Giải bài tập SGK Toán lớp 8 bài 2: Diện tích hình chữ nhật với lời giải chi tiết, rõ ràng theo khung chương trình sách giáo khoa Toán lớp 8. Lời giải hay bài tập Toán 8 này gồm các bài giải tương ứng với từng bài học trong sách giúp cho các bạn học sinh ôn tập và củng cố các dạng bài tập, rèn luyện kỹ năng giải môn Toán. Mời các bạn tham khảo
Giải bài tập SGK Toán lớp 8 bài 12: Hình vuông
Trả lời câu hỏi Toán 8 Tập 1 Bài 2 trang 116: Xét các hình A, B, C, D, E vẽ trên lưới kẻ ô vuông (h.121), mỗi ô vuông là một đơn vị diện tích.
a) Kiểm tra xem có phải diện tích hình A là diện tích 9 ô vuông, diện tích hình B cũng là diện tích 9 ô vuông hay không?
b) Vì sao ta nói: Diện tích hình D gấp bốn lần diện tích hình C?
c) So sánh diện tích hình C với diện tích hình E.

Lời giải
a) Diện tích hình A là 9 ô vuông (3.3 = 9)
Diện tích hình B là 9 ô vuông (
\(\frac{1}{2}\) (4 + 5).2 = 9)
b) Diện tích hình D là 8 ô vuông (2.4 = 8)
Diện tích hình C là 2 ô vuông (2.1 = 2)
⇒ Diện tích hình D gấp 4 lần diện tích hình C
c) Diện tích hình E là 8 ô vuông
⇒ Diện tích hình E gấp 4 lần diện tích hình C
Trả lời câu hỏi Toán 8 Tập 1 Bài 2 trang 117: Từ công thức tính diện tích hình chữ nhật hãy suy ra công thức tính diện tích hình vuông, tam giác vuông.
Lời giải
- Diện tích hình vuông cạnh a: S = a2
- Diện tích tam giác vuông có hai cạnh góc vuông a và b là: S =
\(\frac{1}{2}\)ab
Trả lời câu hỏi Toán 8 Tập 1 Bài 2 trang 118: Ba tính chất của diện tích đa giác đã được vận dụng như thế nào khi chứng minh công thức tính diện tích tam giác vuông?
Lời giải

Muốn tính diện tích tam giác vuông ABC, ta dựng hình chữ nhật ABDC như trên
- ∆ABC = ∆DCB (hai cạnh góc vuông)
⇒SABC = SDCB (theo tính chất 1 diện tích đa giác) (1)
Đường chéo BC chia hình chữ nhật ABDC thành 2 phần là ∆ABC và ∆DCB
⇒SABDC = SABC + SDCB (theo tính chất 2 diện tích đa giác) (2)
Từ (1) và (2) ⇒ SABDC = 2SABC ⇒ SABC =
\(\frac{1}{2}\)SABDC
- ABDC là hình chữ nhật ⇒ SABDC = a.b
⇒ SABC =
\(\frac{1}{2}\)SABDC =
\(\frac{1}{2}\)ab
Bài 6 (trang 118 SGK Toán 8 Tập 1): Diện tích hình chữ nhật thay đổi như thế nào nếu:
a) Chiều dài tăng 2 lần, chiều rộng không đổi?
b) Chiều dài và chiều rộng tăng 3 lần?
c) Chiều dài tăng 4 lần, chiều rộng giảm 4 lần?
Lời giải:
Gọi SHCN, a, b lần lượt là diện tích, chiều dài và chiều rộng của Hình chữ nhật.
Ta có: SHCN = a.b
=> Diện tích Hình chữ nhật SHCN vừa tỉ lệ thuận với chiều dài a, vừa tỉ lệ thuận với chiều rộng b của nó.
Gọi S', a', b' lần lượt là diện tích, chiều dài và chiều rộng khi thay đổi của Hình chữ nhật.
a) Nếu a' = 2a, b' = b thì S' = 2a.b = 2ab = 2S
Vậy diện tích tăng 2 lần
b) Nếu a' = 3a, b' = 3b thì S' = 3a.3b = 9ab = 9S
Vậy diện tích tăng 9 lần.
c)
![]()
Vậy diện tích không đổi.
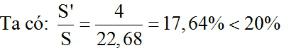
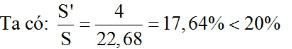
Bài 7 (trang 118 SGK Toán 8 Tập 1): Một gian phòng có nền hình chữ nhật với kích thước là 4,2m và 5,4m, có một cửa sổ hình chữ nhật kích thước là 1m và 1,6m và một cửa ra vào hình chữ nhật kích thước 1,2m và 2m.
Ta coi một gian phòng đạt mức chuẩn về ánh sáng nếu diện tích các cửa bằng 20% diện tích nền nhà. Hỏi gian phòng trên có đạt mức chuẩn về ánh sang hay không?
Lời giải:
Diện tích nền nhà: S = 4,2.5,4 = 22,68 (m2)
Diện tích cửa sổ: S1 = 1.1,6 = 1,6 (m2)
Diện tích cửa ra vào: S2 = 1,2.2 = 2,4 (m2)
Diện tích các cửa: S' = S1 + S2 = 1,6 + 2,4 = 4 (m2)
![]()
Vậy gian phòng không đạt mức chuẩn về ánh sáng.