Toán 8 Thực hiện tính toán trên đa thức với phần mềm GeoGebra
Giải Toán 8 KNTT: Thực hiện tính toán trên đa thức với phần mềm GeoGebra
Giải Toán 8 Kết nối tri thức: Thực hiện tính toán trên đa thức với phần mềm GeoGebra tổng hợp đáp án cho các câu hỏi trong SGK Toán 8 Kết nối tri thức, giúp các em luyện giải Toán 8 và học tốt môn Toán hơn. Mời các em cùng tham khảo để nắm được nội dung bài học.
Sử dụng phần mềm GeoGebra, hãy thực hiện các yêu cầu sau đây.
Bài 1 trang 114 Toán 8 Tập 1
Tính:
\((3x^2y+5xy-2)(4x+3y)-6x^2(2xy+\frac{3}{2}y^2+\frac{10}{3}y)\)
Hướng dẫn giải
Nhập biểu thức trên dòng lệnh của cửa sổ CAS sau đó nhấn Enter, kết quả sẽ được hiển thị ngay bên dưới.

Bài 2 trang 114 Toán 8 Tập 1
Khai triển các biểu thức sau:
a) (5x – y)2;
b)
\(\left(\frac{1}{3}x+2y\right)^3\)
Hướng dẫn giải
a) Khai triển biểu thức (5x – y)2:
• Sử dụng lệnh Expand(<biểu thức cần khai triển>).
• Nhập biểu thức trên dòng lệnh của cửa sổ CAS sau đó nhấn Enter, kết quả sẽ được hiển thị ngay bên dưới.

Vậy (5x – y)2 = 25x2 – 10xy + y2.
b) Khai triển biểu thức
\(\left(\frac{1}{3}x+2y\right)^3\)
• Sử dụng lệnh Expand(<biểu thức cần khai triển>).
• Nhập biểu thức trên dòng lệnh của cửa sổ CAS sau đó nhấn Enter, kết quả sẽ được hiển thị ngay bên dưới.

Vậy
\(\left(\frac{1}{3}x+2y\right)^3 =\frac{1}{27}x^{3} +\frac{2}{3}x^{2}y+4xy^{2}+8y^{3}\)
Bài 3 trang 114 Toán 8 Tập 1
Phân tích các đa thức sau thành nhân tử:
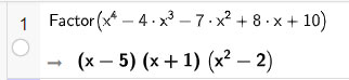
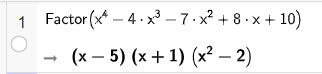
a) x4 – 4x3 – 7x2 + 8x + 10;
b) (x + y + z)3 – x3 – y3 – z3.
Hướng dẫn giải
a) Phân tích các đa thức x4 – 4x3 – 7x2 + 8x + 10 thành nhân tử:
• Sử dụng lệnh Factor(<đa thức>) (hoặc Factorise(<đa thức>)).
• Nhập biểu thức trên dòng lệnh của cửa sổ CAS sau đó nhấn Enter, kết quả sẽ được hiển thị ngay bên dưới.

Vậy x4 – 4x3 – 7x2 + 8x + 10 = (x – 5)(x + 1)(x2 – 2).
b) Phân tích các đa thức (x + y + z)3 – x3 – y3 – z3 thành nhân tử:
• Sử dụng lệnh Factor(<đa thức>) (hoặc Factorise(<đa thức>)).
• Nhập biểu thức trên dòng lệnh của cửa sổ CAS sau đó nhấn Enter, kết quả sẽ được hiển thị ngay bên dưới.

Vậy (x + y + z)3 – x3 – y3 – z3 = 3(y + z)(x + z)(x + y).
Bài 4 trang 114 Toán 8 Tập 1
Tìm thương và dư (nếu có) trong các phép chia sau:
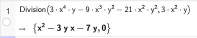
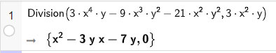
a) (3x4y – 9x3y2 – 21x2y2) : (3x2y);
b) (2x3 + 5x2 – 2x + 12) : (2x2 – x + 1).
Hướng dẫn giải
a) Tìm thương và dư (nếu có) trong các phép chia (3x4y – 9x3y2 – 21x2y2) : (3x2y).
• Sử dụng lệnh Division(<đa thức bị chia>, <đa thức chia>) để tìm thương và dư của phép chia hai đa thức.
• Nhập biểu thức trên dòng lệnh của cửa sổ CAS sau đó nhấn Enter, kết quả sẽ được hiển thị ngay bên dưới.

Vậy phép chia hai đa thức (3x4y – 9x3y2 – 21x2y2) cho (3x2y), ta được thương là x2 – 3xy – 7y và dư 0.
b) Tìm thương và dư (nếu có) trong các phép chia (2x3 + 5x2 – 2x + 12) : (2x2 – x + 1).
• Sử dụng lệnh Division(<đa thức bị chia>, <đa thức chia>) để tìm thương và dư của phép chia hai đa thức.
• Nhập biểu thức trên dòng lệnh của cửa sổ CAS sau đó nhấn Enter, kết quả sẽ được hiển thị ngay bên dưới.

Vậy phép chia hai đa thức (2x3 + 5x2 – 2x + 12) cho (2x2 – x + 1), ta được thương là x + 3 và dư 9.
-------------------------------------
Ngoài Giải Toán 8 Thực hiện tính toán trên đa thức với phần mềm GeoGebra KNTT, mời các bạn tham khảo thêm Đề thi giữa kì 2 lớp 8 hay Đề thi học kì 2 lớp 8 để giúp các bạn học sinh học tốt hơn.
Bài tiếp theo: Giải Toán 8 Kết nối tri thức: Vẽ hình đơn giản với phần mềm GeoGebra