Giải bài tập SBT Toán 8 bài 3: Phương trình đưa về dạng ax + b = 0
Bài tập môn Toán lớp 8
Giải bài tập SBT Toán 8 bài 3: Phương trình đưa về dạng ax + b = 0 được VnDoc sưu tầm và đăng tải, tổng hợp lý thuyết. Đây là lời giải hay cho các câu hỏi trong sách bài tập nằm trong chương trình giảng dạy môn Toán lớp 8. Hi vọng rằng đây sẽ là những tài liệu hữu ích trong công tác giảng dạy và học tập của quý thầy cô và các em học sinh.
Giải bài tập SBT Toán 8 bài 1: Mở đầu về phương trình
Giải bài tập SBT Toán 8 bài 2: Phương trình bậc nhất một ẩn và cách giải
Giải bài tập SBT Toán 8 bài 4: Phương trình tích
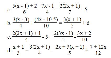
Câu 1: Giải các phương trình sau:
a, 1,2 – (x – 0,8) = -2(0,9 + x)
b, 2,3x – 2(0,7 + 2x) = 3,6 – 1,7x
c, 3(2,2 – 0,3x) = 2,6 + (0,1x – 4)
d, 3,6 – 0,5(2x + 1) = x – 0,25(2 – 4x)
Lời giải:
a, 1,2 – (x – 0,8) = -2(0,9 + x) ⇔ 1,2 – x + 0,8 = -1,8 – 2x
⇔ -x + 2x = -1,8 – 2 ⇔ x = -3,8
Phương trình có nghiệm x = -3,8
b, 2,3x – 2(0,7 + 2x) = 3,6 – 1,7x
⇔ 2,3x – 1,4 – 4x = 3,6 – 1,7x ⇔ 2,3x – 4x + 1,7x = 3,6 + 1,4
⇔ 0x = 5
Phương trình vô nghiệm
c, 3(2,2 – 0,3x) = 2,6 + (0,1x – 4)
⇔ 6,6 – 0,9x = 2,6 + 0,1x – 4 ⇔ 6,6 – 2,6 + 4 = 0,1x + 0,9x
⇔ x = 8
Phương trình có nghiệm x = 8
d, 3,6 – 0,5(2x + 1) = x – 0,25(2 – 4x)
⇔ 3,6 – x – 0,5 = x – 0,5 + x ⇔ 3,6 – 0,5 + 0,5 = x + x + x
⇔ 3,6 = 3x ⇔ 1,2
Phương trình có nghiệm x = 1,2
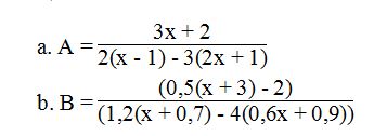
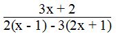
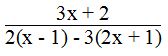
Câu 2: Tìm điều kiện của x để giá trị mỗi phân thức sau xác định:

Lời giải:
a, Phân thức
xác định khi:
2(x – 1) – 3(2x + 1) ≠ 0
Ta giải phương trình: 2(x – 1) – 3(2x + 1) = 0
Ta có: 2(x – 1) – 3(2x + 1) = 0 ⇔ 2x – 2 – 6x – 3 = 0
⇔ -4x – 5 = 0 ⇔ 4x = -5 ⇔ x = -54
Vậy khi x ≠ -54 thì phân thức A xác định.
b, Phân thức
xác định khi:
1,2(x + 0,7) – 4(0,6x + 0,9) ≠ 0
Ta giải phương trình: 1,2(x + 0,7) – 4(0,6x + 0,9) = 0
Ta có: 1,2(x + 0,7) – 4(0,6x + 0,9) = 0
⇔ 1,2x + 0,84 – 2,4 – 3,6 = 0
⇔ -1,2x – 2,76 = 0 ⇔ x = -2,3
Vậy khi x ≠ -2,3 thì phân thức B xác định.
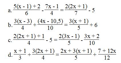
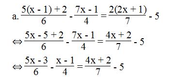
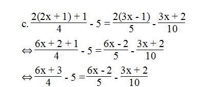
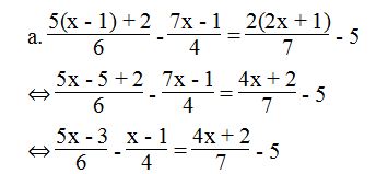
Câu 3: Giải các phương trình sau:

Lời giải:

⇔ 14(5x – 3) – 21(7x – 1) = 12(4x + 2) – 5.84
⇔ 70x – 42 – 147x + 21 = 48x + 24 – 420
⇔ 70x – 147x – 48x = 24 – 420 + 42 – 21
⇔ -125x = -375 ⇔ x = 3
Phương trình có nghiệm x = 3

⇔ 5(3x – 9) + 2(4x – 10,5) = 4(3x + 3) + 6.20
⇔ 15x – 45 + 8x – 21 = 12x + 12 + 120
⇔ 15x + 8x – 12x = 12 + 120 + 45 + 21 ⇔ 11x = 198 ⇔ x = 18
Phương trình có nghiệm x = 18

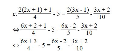
⇔ 5(6x + 3) – 5.20 = 4(6x – 2) – 2(3x + 2)
⇔ 30x + 15 – 100 = 24x – 8 – 6x – 4
⇔ 30x – 24x + 6x = -8 -4 – 15 + 100
⇔ 12x = 73 ⇔ x = 73/12
Phương trình có nghiệm x = 73/12

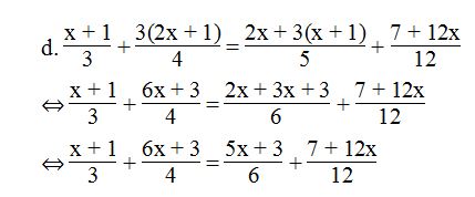
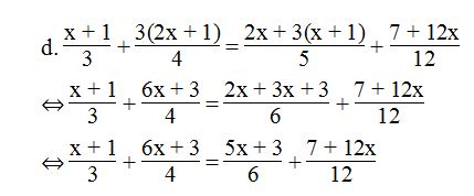
⇔ 4(x + 1) + 3(6x + 3) = 2(5x + 3) + 7 + 12x
⇔ 4x + 4 + 18x + 9 = 10x + 6 + 7 + 12x
⇔ 4x + 18x – 10x – 12x = 6 + 7 – 4 – 9 ⇔ 0x = 0
Phương trình có vô số nghiệm.
Câu 4: Tìm giá trị của k sao cho:
a, Phương trình (2x + 1)(9x + 2k) – 5(x + 2) = 40 có nghiệm x = 2.
b, Phương trình 2(2x + 1) + 18 = 3(x + 2)(2x + k) có nghiệm x = 1.
Lời giải:
a, Thay x = 2 vào phương trình (2x + 1)(9x + 2k) – 5(x + 2) = 40, ta có:
(2.2 + 1)(9.2 + 2k) – 5(2 + 2) = 40
⇔ (4 + 1)(18 + 2k) – 5.4 = 40 ⇔ 5(18 + 2k) – 20 = 40
⇔ 90 + 10k – 20 = 40 ⇔ 10k = 40 – 90 + 20 ⇔ 10k = -30
⇔ k = -3
Vậy khi k = -3 thì phương trình (2x + 1)(9x + 2k) – 5(x + 2) = 40 có nghiệm x = 2.
b, Thay x = 1 vào phương trình 2(2x + 1) + 18 = 3(x + 2)(2x + k), ta có:
2(2.1 + 1) + 18 = 3(1 + 2)(2.1 + k)
⇔ 2(2 + 1) + 18 = 3.3(2 + k) ⇔ 2.3 + 18 = 9(2 + k)
⇔ 6 + 18 = 18 + 9k ⇔ 24 – 18 = 9k ⇔ 6 = 9k ⇔ k = 69 = 23
Vậy khi k = 23 thì phương trình 2(2x + 1) + 18 = 3(x + 2)(2x + k) có nghiệm x = 1.
Câu 5: Tìm các giá trị của x sao cho hai biểu thức A và B cho sau đây có giá trị bằng nhau:
a, A = (x – 3)(x + 4) – 2(3x – 2); B = (x – 4)2
b, A = (x + 2)(x – 2) + 3x2; B = (2x + 1)2 + 2x
c, A = (x – 1)(x2 + x + 1) – 2x; B = x(x – 1)(x + 1)
d, A = (x + 1)3 – (x – 2)3; B = (3x – 1)(3x + 1)
Lời giải:
a, Ta có: A = B ⇔ (x – 3)(x + 4) – 2(3x – 2) = (x – 4)2
⇔ x2 + 4x – 3x – 12 – 6x + 4 = x2 – 8x + 16
⇔ x2 – x2 + 4x – 3x – 6x + 8x = 16 + 12 – 4
⇔ 3x = 24 ⇔ x = 8
Vậy với x = 8 thì A = B
b, Ta có: A = B ⇔ (x + 2)(x – 2) + 3x2 = (2x + 1)2 + 2x
⇔ x2 – 4 + 3x2 = 4x2 + 4x + 1 + 2x
⇔ x2 + 3x2 – 4x2 – 4x – 2x = 1 + 4 ⇔ -6x = 5 ⇔ x = - 5/6
Vậy với x = - 5/6 thì A = b,
c, Ta có: A = B ⇔ (x – 1)(x2 + x + 1) – 2x = x(x – 1)(x + 1)
⇔ x3 – 1 – 2x = x(x2 – 1) ⇔ x3 – 1 – 2x = x3 – x
⇔ x3 – x3 – 2x + x = 1 ⇔ -x = 1 ⇔ x = -1
Vậy với x = -1 thì A = B
d, Ta có: A = B ⇔ (x + 1)3 – (x – 2)3 = (3x – 1)(3x + 1)
⇔ x3 + 3x2 + 3x + 1 – x3 + 6x2 – 12x + 8 = 9x2 – 1
⇔ x3 – x3 + 3x2 + 6x2 – 9x2 + 3x – 12x = -1 – 1 – 8
⇔ -9x = -10 ⇔ x = 10/9
Vậy với x = 10/9 thì A = b,