Giải bài tập SBT Toán 8 bài 8: Phép chia các phân thức đại số
Bài tập môn Toán lớp 8
Giải bài tập SBT Toán 8 bài 8: Phép chia các phân thức đại số được VnDoc sưu tầm và đăng tải, tổng hợp lý thuyết. Đây là lời giải hay cho các câu hỏi trong sách bài tập nằm trong chương trình giảng dạy môn Toán lớp 8. Hi vọng rằng đây sẽ là những tài liệu hữu ích trong công tác giảng dạy và học tập của quý thầy cô và các em học sinh.
Giải bài tập SBT Toán 8 bài 6: Phép trừ các phân thức đại số
Giải bài tập SBT Toán 8 bài 7: Phép nhân các phân thức đại số
Giải bài tập SBT Toán 8 bài 9: Biến đổi các biểu thức hữu tỉ - Giá trị của phân thức
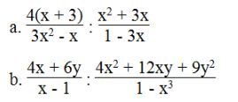
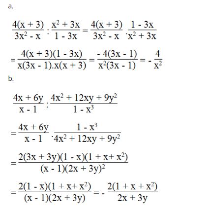
Câu 1: Thực hiện phép tính:

Lời giải:

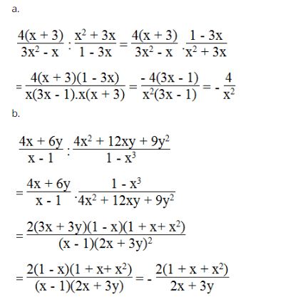
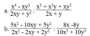
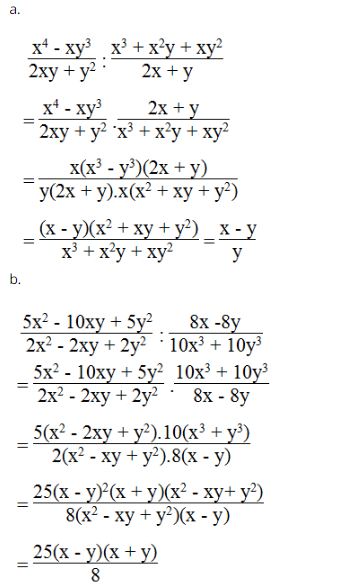
Câu 2: Rút gọn biểu thức:

Lời giải:

Câu 3: Hà Nội cách TP. Hồ Chí Minh x km. Quãng đường từ Hà Nội đến Huế ngắn hơn quãng đường từ Huế đến TP. Hồ Chí Minh là 411km. Một con tàu xuất phát từ TP. Hồ Chí Minh đi Hà Nội. Sau đó 8 giờ con tàu thứ hai xuất phát từ Hà Nội đi TP. Hồ Chí Minh, chúng gặp nhau tại Huế rồi tiếp tục đi. Con tàu thứ hai phải đi 20 giờ nữa mới đến TP. Hồ Chí Minh. Hãy biểu diễn:
a, Chiều dài quãng đường Hà Nội - Huế, Huế - TP. Hồ Chí Minh.
b, Vận tốc của hai con tàu.
c, Thời gian của con tàu thứ hai từ Hà Nội vào Huế.
d, Thời gian của con tàu thứ nhất từ TP. Hồ Chí Minh ra Huế.
e, Vận tốc con tàu thứ nhất.
f, Thời gian đi của cọn tàu thứ nhất từ Huế ra Hà Nội.
Lời giải:

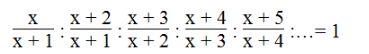
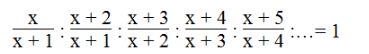
Câu 4: Đố em điền được một phân thức vào chỗ trống của đẳng thức:

Lời giải:
