Giải bài tập SBT Toán 8 bài 3: Rút gọn phân thức
Bài tập môn Toán lớp 8
Giải bài tập SBT Toán 8 bài 3: Rút gọn phân thức được VnDoc sưu tầm và đăng tải, tổng hợp lý thuyết. Đây là lời giải hay cho các câu hỏi trong sách bài tập nằm trong chương trình giảng dạy môn Toán lớp 8. Hi vọng rằng đây sẽ là những tài liệu hữu ích trong công tác giảng dạy và học tập của quý thầy cô và các em học sinh.
Giải bài tập SBT Toán 8 bài 1: Phân thức đại số
Giải bài tập SBT Toán 8 bài 2: Tính chất cơ bản của phân thức
Giải bài tập SBT Toán 8 bài 4: Quy đồng mẫu thức nhiều phân thức
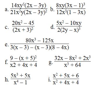
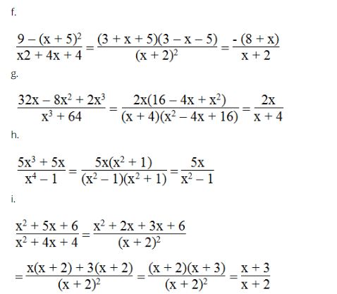
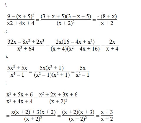
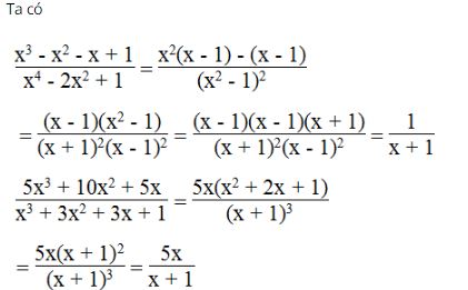
Câu 1: Rút gọn các phân thức:

Lời giải:

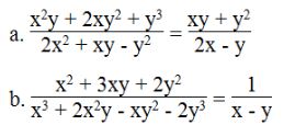
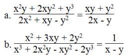
Câu 2: Chứng minh các đẳng thức sau:

Lời giải:

Câu 3: Cho hai phân thức
theo bài tập 2, có vô số cặp phân thức có cùng mẫu thức đã cho, hãy tìm cặp phân thức như thế với mẫu thức là đa thức có bậc thấp nhất.
Lời giải

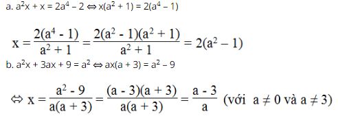
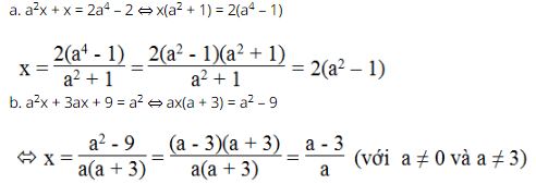
Câu 4: Tìm x, biết:
- a2x + x = 2a4– 2 với a là hằng số
- a2x + 3ax + 9 = a2với a là hằng số, a ≠ 0 và a ≠ 3
Lời giải:
