Giải bài tập SBT Toán 8 bài: Ôn tập chương 2
Bài tập môn Toán lớp 8
Giải bài tập SBT Toán 8 bài: Ôn tập chương 2 được VnDoc sưu tầm và đăng tải, tổng hợp lý thuyết. Đây là lời giải hay cho các câu hỏi trong sách bài tập nằm trong chương trình giảng dạy môn Toán lớp 8. Hi vọng rằng đây sẽ là những tài liệu hữu ích trong công tác giảng dạy và học tập của quý thầy cô và các em học sinh.
Giải bài tập SBT Toán 8 bài 9: Biến đổi các biểu thức hữu tỉ - Giá trị của phân thức
Giải bài tập SBT Toán 8 bài 1: Tứ giác
Giải bài tập SBT Toán 8 bài 1: Mở đầu về phương trình
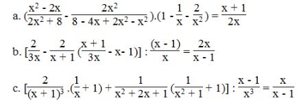
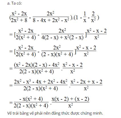
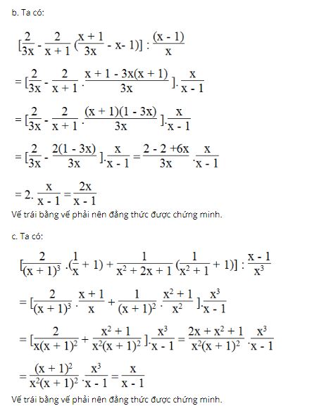
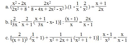
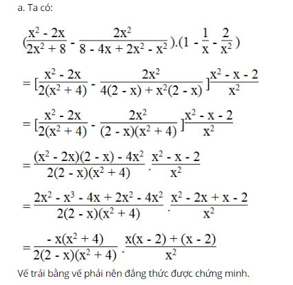
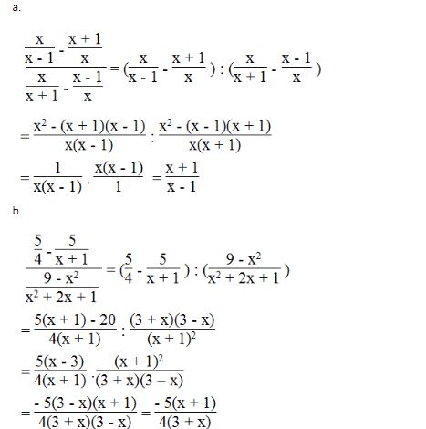
Câu 1: Chứng minh đẳng thức:

Lời giải:


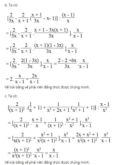
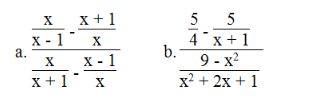
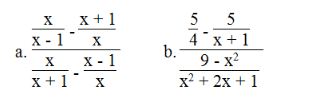
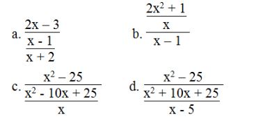
Câu 2: Biến đổi các biểu thức hữu tỉ thành phân thức:
Lời giải:

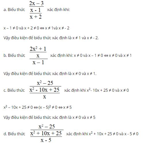
Câu 3: Đối với mỗi biểu thức sau, hãy tìm điều kiện của x để giá trị của biểu thức được xác định:

Lời giải:

x2 + 10x + 25 ≠ 0 ⇔ (x + 5)2 ≠ 0 ⇔ x ≠ - 5
x – 5 ≠ 0 ⇔ x ≠ 5
Vậy điều kiện để biểu thức xác định là x ≠ 5 và x ≠ - 5.