Giải bài tập SBT Toán 8 bài 9: Biến đổi các biểu thức hữu tỉ - Giá trị của phân thức
Bài tập môn Toán lớp 8
Giải bài tập SBT Toán 8 bài 9: Biến đổi các biểu thức hữu tỉ - Giá trị của phân thức được VnDoc sưu tầm và đăng tải, tổng hợp lý thuyết. Đây là lời giải hay cho các câu hỏi trong sách bài tập nằm trong chương trình giảng dạy môn Toán lớp 8. Hi vọng rằng đây sẽ là những tài liệu hữu ích trong công tác giảng dạy và học tập của quý thầy cô và các em học sinh.
Giải bài tập SBT Toán 8 bài 7: Phép nhân các phân thức đại số
Giải bài tập SBT Toán 8 bài 8: Phép chia các phân thức đại số
Giải bài tập SBT Toán 8 bài: Ôn tập chương 2
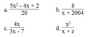
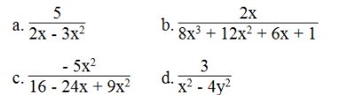
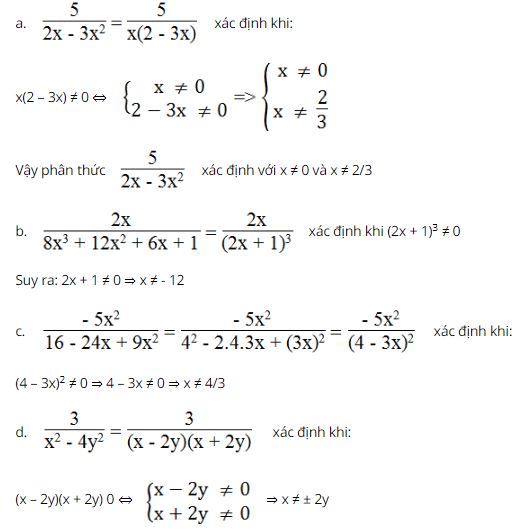
Câu 1: Tìm điều kiện của biến để giá trị của phân thức xác định:

Lời giải:

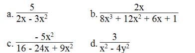
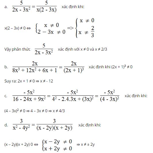
Câu 2: Phân tích mẫu thức của các phân thức sau thành nhân tử rồi tìm điều kiện của x để giá trị của phân thức xác định:

Lời giải:

Câu 3: a, Tìm một phân thức (một biến) mà giá trị của nó xác định với mọi giá trị của biến khác các số nguyên lẻ lớn hơn 5 và nhỏ hơn 10.
b, Tìm một phân thức (một biến) mà giá trị của nó xác định với mọi giá trị của biến khác ± √2
Lời giải:
a, Một phân thức một biến mà giá trị của nó xác định với mọi giá trị của biến khác các số nguyên lẻ lớn hơn 5 và nhỏ hơn 10 ta có tập hơp số nguyên lẻ đó {7;9} nên x ≠ 7 và x ≠ 9
Suy ra: x – 7 ≠ 0 và x – 9 ≠ 0

Câu 4: Đố em tìm được một cặp phân thức của biến x mà khi giá trị của phân thức này bằng 0 thì giá trị của phân thức kia không xác định và ngược lại khi giá trị phân thức kia bằng 0 thì giá trị phân này không xác định. Em tìm được bao nhiêu cặp như thế?
Lời giải:
Hai phân thức có cùng biến x mà khi giá trị của phân thức này bằng 0 thì giá trị của phân thức kia không xác định và ngược lại. Ta chọn hai phân thức đó có cùng biến x là nghịch đảo của nhauvà không có giá trị nào của x để từ và mẫu đồng thời bằng 0.

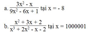
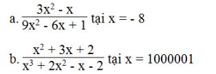
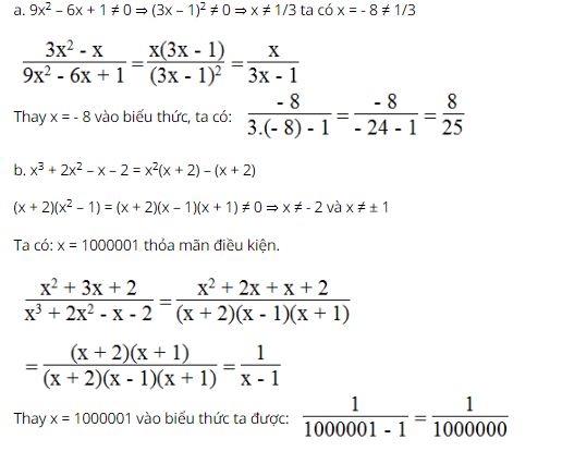
Câu 5: Tìm giá trị của các biểu thức:

Lời giải:
