Giải bài tập SGK Toán lớp 8: Ôn tập chương 2 - Đa giác. Diện tích đa giác
Giải bài tập Toán lớp 8: Ôn tập chương 2 - Đa giác. Diện tích đa giác
Giải bài tập SGK Toán lớp 8: Ôn tập chương 2 - Đa giác. Diện tích đa giác với lời giải chi tiết, rõ ràng theo khung chương trình sách giáo khoa Toán lớp 8. Lời giải hay bài tập Toán 8 này gồm các bài giải tương ứng với từng bài học trong sách giúp cho các bạn học sinh ôn tập và củng cố các dạng bài tập, rèn luyện kỹ năng giải môn Toán. Mời các bạn tham khảo
Giải bài tập SGK Toán lớp 8 bài 3: Diện tích tam giác
1 (trang 131 SGK Toán 8 Tập 1): Xem các hình 156, 157, 158 và trả lời các câu hỏi sau:
a) Vì sao hình năm cạnh GHIKL (h.156) không phải là đa giác lồi?
b) Vì sao hình năm cạnh MNOPQ (h.157) không phải là đa giác lồi?
c) Vì sao hình sáu cạnh RSTVXY (h.158) là một đa giác lồi?
Hãy phát biểu định nghĩa đa giác lồi.

Trả lời:
a) + b) Đa giác GHIKL và MNOPQ không phải là đa giác lồi vì không nằm trong cùng nửa mặt phẳng có bờ là đường thẳng chứa bất kì cạnh nào của đa giác đó.
c) Đa giác RSTVXY là đa giác lồi vì luôn nằm trong cùng nửa mặt phẳng có bờ là đường thẳng chứa bất kì cạnh nào của đa giác đó.
- Định nghĩa:
Đa giác lồi vì luôn nằm trong cùng nửa mặt phẳng có bờ là đường thẳng chứa bất kì cạnh nào của đa giác đó.
2 (trang 132 SGK Toán 8 Tập 1): Điền vào chỗ trống trong các câu sau:
a) Biết rằng tổng số đo các góc của một đa giác n cạnh là

Số đo mỗi góc của ngũ giác đều là ....
Số đo mỗi góc của lục giác đều là ....
Trả lời:
Ta điền vào chỗ trống như sau:
a) (7 - 2).180o = 900o
b) tất cả các cạnh bằng nhau và tất cả các góc bằng nhau.
c)

3 (trang 132 SGK Toán 8 Tập 1): Hãy viết công thức tính diện tích của mỗi hình trong khung sau:
Trả lời:

Bài 41 (trang 132 SGK Toán 8 Tập 1): Cho hình chữ nhật ABCD. Gọi H, I, E, K lần lượt là các trung điểm của BC, HC, DC, EC (h.159). Tính
a) Diện tích tam giác DBE
b) Diện tích tứ giác EHIK

Hình 159
Lời giải:

- Cách khác:
![]()
Bài 42 (trang 132 SGK Toán 8 Tập 1): Trên hình 160 (AC // BF), hãy tìm tam giác có diện tích bằng diện tích tứ giác ABCD.

Hình 160
Lời giải:
Gọi O là giao điểm của AF và BC, ta có:
SABCD = SAOCD + SABO (1)
Ta có tam giác ADF có diện tích bằng diện tích tứ giác ABCD.
Thật vậy, do AC // BF nên SABC = SAFC (vì có cùng đáy AC và cùng chiều cao là khoảng cách giữa hai đường thẳng song song AC, BF).
⇔ SABO + SAOC = SCFO + SAOC
Suy ra SABO = SCFO
Do đó SADF = SAOCD + SCFO = SAOCD + SABO (2)
Từ (1) và (2) suy ra: SADF = SABCD (đpcm)
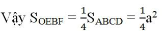
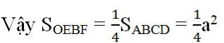
Bài 43 (trang 133 SGK Toán 8 Tập 1): Cho hình vuông ABCD có tâm đối xứng O, cạnh a. Một góc vuôn xOy có tia Ox cắt cạnh AB tại E, tia Oy cắt cạnh BC tại F (h.161). Tính diện tích tứ giác OEBF.

Lời giải:

Ta có SABCD = a2
Nối OA, OB. Xét hai tam giác AOE và BOF có:

Nên ΔAOE = ΔBOF
Do đó SOEBF = SOBE + SOBF = SOEB + SOAE = SOAB
![]()
Bài 44 (trang 138 SGK Toán 8 Tập 1): Gọi O là điểm nằm trong hình bình hành ABCD. Chứng minh rằng tổng diện tích của hai tam giác ABO và CDO bằng tổng diện tích của hai tam giác BCO và DAO.
Lời giải:

Từ O kẻ đường thẳng d vuông góc với AB cắt AB ở H1, cắt CD ở H2
Ta có OH1 ⊥ AB
Mà AB // CD
Nên OH2 ⊥ CD

Từ (1) và (2) suy ra:
SABO + SCDO = SBCO + SDAO (đpcm)
Bài 45 (trang 133 SGK Toán 8 Tập 1): Hai cạnh của một hình bình hành có độ dài là 6cm và 4cm. Một trong các đường cao có độ dài là 5cm. Tính độ dài đường cao kia.
Lời giải:

Cho hình bình hành ABCD với AB = 6cm, AD = 4cm. Gọi AI, AH lần lượt là đường cao kẻ từ A đến CD, BC.
Ta có: SABCD = CD.AI = BC.AH
SABCD = 6.AI = 4.AH
Một đường cao có độ dài 5cm thì đó phải là AH vì AH < AB (5 < 6), không thể là AI vì AI < AD (AD = 4).
Vậy 6.AI = 4.5 = 20
![]()
Vậy độ dài đường cao còn lại là 3,333 cm.
Bài 46 (trang 133 SGK Toán 8 Tập 1): Cho tam giác ABC. Gọi M, N là các trung điểm tương ứng của AC, BC. Chứng minh rằng diện tích của hình thang ABNM bằng 3/4 diện tích của tam giác ABC.
Lời giải:

Vẽ hai trung tuyến AN, BM của ΔABC. Ta có:

SAMN = SMNC (có cùng đường cao từ đỉnh N, đáy AM = MC).

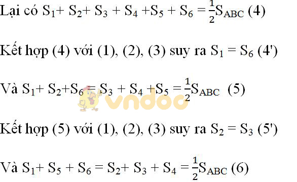
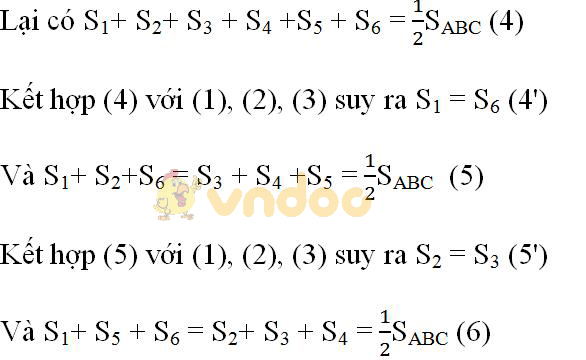
Bài 47 (trang 133 SGK Toán 8 Tập 1): Vẽ ba đường trung tuyến của một tam giác (h.162). Chứng minh sáu tam giác 1, 2, 3, 4, 5, 6 có diện tích bằng nhau.

Hình 162
Lời giải:
Theo tính chất trung tuyến, suy ra:
S1 = S2 (có đáy bằng nhau và cùng chiều cao) (1)
S3 = S4 (có đáy bằng nhau và cùng chiều cao) (2)
S5 = S6 (có đáy bằng nhau và cùng chiều cao) (3)

Kết hợp (6) với (1), (2), (3) suy ra S4 = S5 (6')
Từ (4'), (5'), (6') và kết hợp (1) (2) (3) ta có:
S1 = S2 = S3 = S4 = S5 = S6
Hay 6 tam giác có diện tích bằng nhau (đpcm).