Giải bài tập SBT Toán 8 bài 5: Phép cộng các phân thức đại số
Bài tập môn Toán lớp 8
Giải bài tập SBT Toán 8 bài 5: Phép cộng các phân thức đại số được VnDoc sưu tầm và đăng tải, tổng hợp lý thuyết. Đây là lời giải hay cho các câu hỏi trong sách bài tập nằm trong chương trình giảng dạy môn Toán lớp 8. Hi vọng rằng đây sẽ là những tài liệu hữu ích trong công tác giảng dạy và học tập của quý thầy cô và các em học sinh.
Giải bài tập SBT Toán 8 bài 3: Rút gọn phân thức
Giải bài tập SBT Toán 8 bài 4: Quy đồng mẫu thức nhiều phân thức
Giải bài tập SBT Toán 8 bài 6: Phép trừ các phân thức đại số
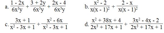
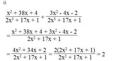
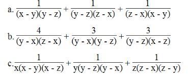
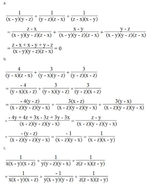
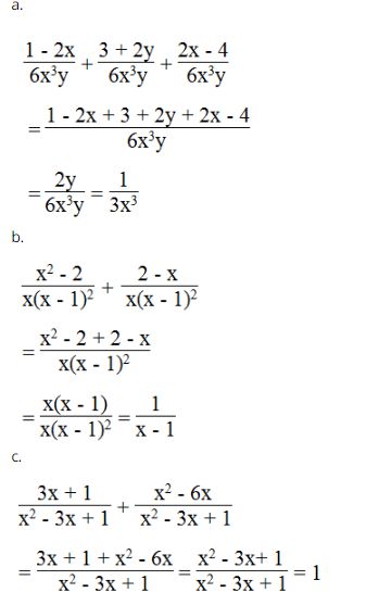
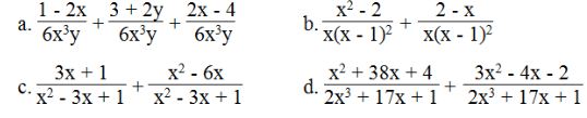
Câu 1: Cộng các phân thức cùng mẫu thức:

Lời giải:


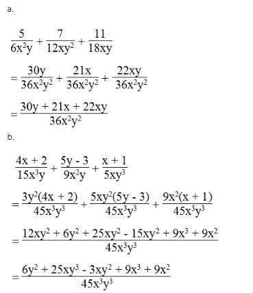
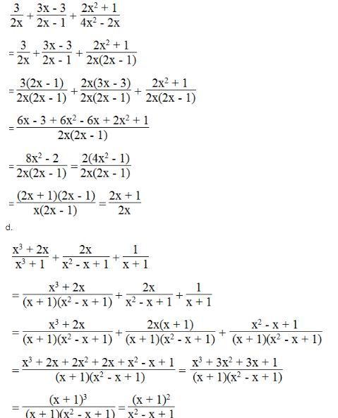
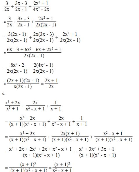
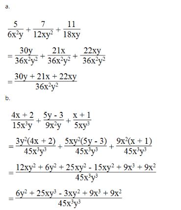
Câu 2: Cộng các phân thức khác mẫu thức:

Lời giải:

c,

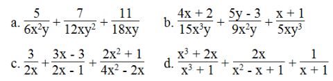
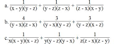
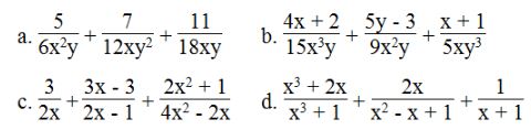
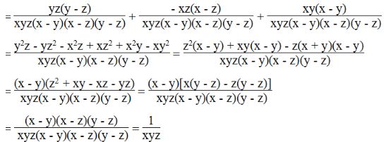
Câu 3: Cộng các phân thức:

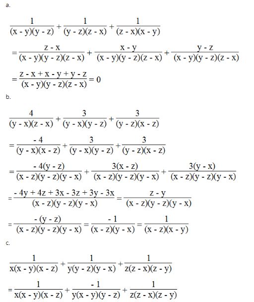
Lời giải:

