Giải bài tập SBT Toán 8 bài 1: Phân thức đại số
Bài tập môn Toán lớp 8
Giải bài tập SBT Toán 8 bài 1: Phân thức đại số được VnDoc sưu tầm và đăng tải, tổng hợp lý thuyết. Đây là lời giải hay cho các câu hỏi trong sách bài tập nằm trong chương trình giảng dạy môn Toán lớp 8. Hi vọng rằng đây sẽ là những tài liệu hữu ích trong công tác giảng dạy và học tập của quý thầy cô và các em học sinh.
Giải bài tập SBT Toán 8 bài 12: Chia đa thức một biến đã sắp xếp
Giải bài tập SBT Toán 8 bài: Ôn tập chương 1
Giải bài tập SBT Toán 8 bài 2: Tính chất cơ bản của phân thức
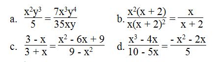
Câu 1: Dùng định nghĩa hai phân thức bằng nhau chứng minh các đẳng thức sau:

Lời giải:


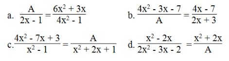
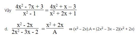
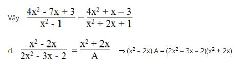
Câu 2: Dùng định nghĩa hai phân thức bằng nhau, hãy tìm đa thức A trong mỗi đẳng thức sau:

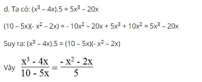
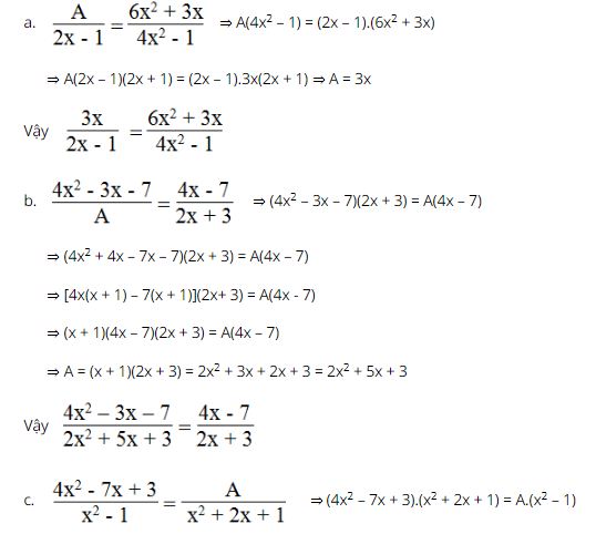
Lời giải:

⇒ (4x2 – 4x – 3x + 3).(x + 1)2 = A.(x + 1)(x – 1)
⇒ [4x(x – 1) – 3(x – 1)].(x + 1)2 = A.(x + 1)(x – 1)
⇒ (x – 1)(4x – 3)(x + 1)2 = A(x + 1)(x – 1)
⇒ A = (4x – 3)(x + 1) = 4x2 + 4x – 3x – 3 = 4x2 + x – 3

⇒ x(x – 2).A = (2x2 – 4x + x – 2).x(x + 2)
⇒ x(x – 2).A = [2x(x – 2) + (x – 2)].x(x + 2)
⇒ x(x – 2).A = (x – 2)(2x + 1).x.(x + 2)
⇒ A = (2x + 1)(x + 2) = 2x2 + 4x + x + 2 = 2x2 + 5x + 2
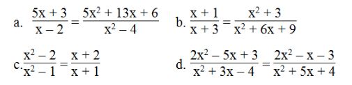
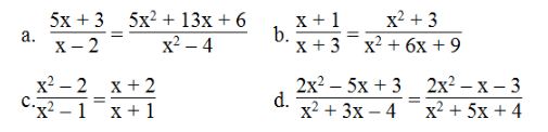
Câu 3: Bạn Lan viết các đẳng thức sau đây và đố các bạn trong nhóm học tập tìm ra chỗ sai. Em hãy tìm và sửa chỗ sai cho đúng.

Lời giải:
a, (5x + 3)(x2– 4) = 5x3– 20x + 3x2 – 12
(x – 2)(5x2 + 13x + 6) = 5x3 + 12x2 + 6x – 10x2 – 26x – 12
= 5x3 – 20x + 3x2 – 12
Vậy đẳng thức đúng.
b, (x + 1)(x2+ 6x + 9) = x3+ 6x2 + 9x + x2 + 6x + 9 = x3 + 7x2 + 15x + 9
(x + 3)(x2 + 3) = x3 + 3x + 3x2 + 9
Ta có: (x + 1)(x2 + 6x + 9) ≠ (x + 3)(x2 + 3)
Vậy đẳng thức sai.

d, (2x2– 5x + 3)(x2+ 5x + 4)
= 2x4 + 10x3 + 8x2 – 5x3 – 25x2 – 20x + 3x2 + 15x + 12
= 2x4 + 5x3 – 14x2 – 5x + 12
(x2 + 3x – 4)(2x2 – x – 3)
= 2x4 – x3 – 3x2 + 6x3 – 3x2 – 9x – 8x2 + 4x + 12
= 2x4 + 5x3 – 14x2 – 5x + 12
Ta có: (2x2 – 5x + 3)(x2 + 5x + 4) = (x2 + 3x – 4)(2x2 – x – 3)
Vậy đẳng thức đúng.