Giải bài tập SGK Toán lớp 8 bài 9: Biến đổi các biểu thức hữu tỉ. Giá trị của phân thức
Giải bài tập Toán lớp 8 bài 9: Biến đổi các biểu thức hữu tỉ. Giá trị của phân thức
Giải bài tập SGK Toán lớp 8 bài 9: Biến đổi các biểu thức hữu tỉ. Giá trị của phân thức với lời giải chi tiết, rõ ràng theo khung chương trình sách giáo khoa Toán lớp 8. Lời giải hay bài tập Toán 8 này gồm các bài giải tương ứng với từng bài học trong sách giúp cho các bạn học sinh ôn tập và củng cố các dạng bài tập, rèn luyện kỹ năng giải môn Toán. Mời các bạn tham khảo
Giải bài tập SGK Toán lớp 8 bài 6: Phép trừ các phân thức đại số
Giải bài tập SGK Toán lớp 8 bài 7: Phép nhân các phân thức đại số
Giải bài tập SGK Toán lớp 8 bài 8: Phép chia các phân thức đại số
Trả lời câu hỏi Toán 8 Tập 1 Bài 9 trang 56: Biến đổi biểu thức sau thành một phân thức

Trả lời câu hỏi Toán 8 Tập 1 Bài 9 trang 57: Cho phân thức
\(\frac{x+1}{x^2+x}\)
a) Tìm điều kiện của x để giá trị của phân thức được xác định.
b) Tính giá trị của phân thức tại x = 1 000 000 và tại x = - 1
Lời giải
a) Ta có: x2 + x = x(x + 1)
Giá trị phân thức này được xác định với điều kiện x2 + x ≠ 0
⇒ x(x + 1) ≠ 0 ⇒ x ≠ 0 và x + 1 ≠ 0
⇒ x ≠ 0 và x ≠ -1
b) Ta có:

Bài 46 (trang 57 SGK Toán 8 Tập 1): Biến dổi mỗi biểu thức sau thành một phân thức đại số:


Bài 47 (trang 57 SGK Toán 8 Tập 1): Với giá trị nào đó của x thì giá trị của mỗi phân thức sau được xác định?

Lời giải:
a) Giá trị của phân thức được xác định với điều kiện 2x + 4 ≠ 0.
Suy ra 2x ≠ -4 hay x ≠ -2
Vậy điều kiện để phân thức xác định là x ≠ -2.
b) Điều kiện để phân thức được xác định là x2 - 1 ≠ 0 hay (x – 1)(x + 1) ≠ 0
Do đó x – 1 ≠ 0 và x + 1 ≠ 0 hay x ≠ 1 và x ≠ -1.
Vậy điều kiện để phân thức xác định là x ≠ ±1.
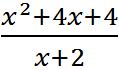
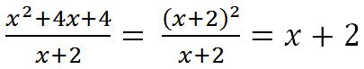
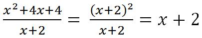
Bài 48 (trang 58 SGK Toán 8 Tập 1): Cho phân thức

a) Với điều kiện nào của x thì giá trị của phân thức được xác định?
b) Rút gọn phân thức.
c) Tìm giá trị của x để giá trị của phân thức bằng 1?
d) Có giá trị nào x để giá trị của phân thức bằng 0 hay không?
Lời giải:
a) Điều kiện của x để phân thức được xác định là:
x + 2 ≠ 0 hay x ≠ -2
b) Rút gọn phân thức:

c) Nếu giá trị của phân thức đã cho bằng 1 thì x + 2 = 1.
Do đó x = -1. Giá trị này thỏa mãn điều kiện của x.
d) Nếu giá trị của phân thức đã cho bằng 0 thì x + 2 = 0 => x = -2.
Giá trị này không thỏa mãn với điều kiện của x (x ≠ -2). Vậy không có giá trị nào của x để biểu thức đã cho có giá trị bằng 0.
Bài 49 (trang 58 SGK Toán 8 Tập 1): Đố. Đố em tìm được phân thức (của một biến x) mà giá trị của nó được xác định với mọi giá trị của x khác các ước của 2.
Lời giải:
Các ước của 2 là ±1, ±2.
(x+ 1)(x – 1)(x + 2)(x – 2) ≠ 0 khi x ≠ ±1, x ≠ ±2
Vậy có thể chọn phân thức

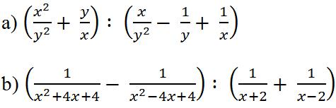
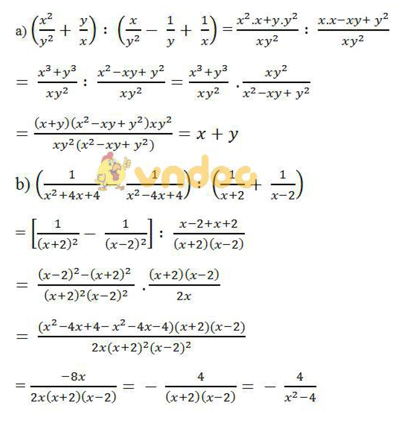
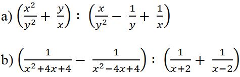
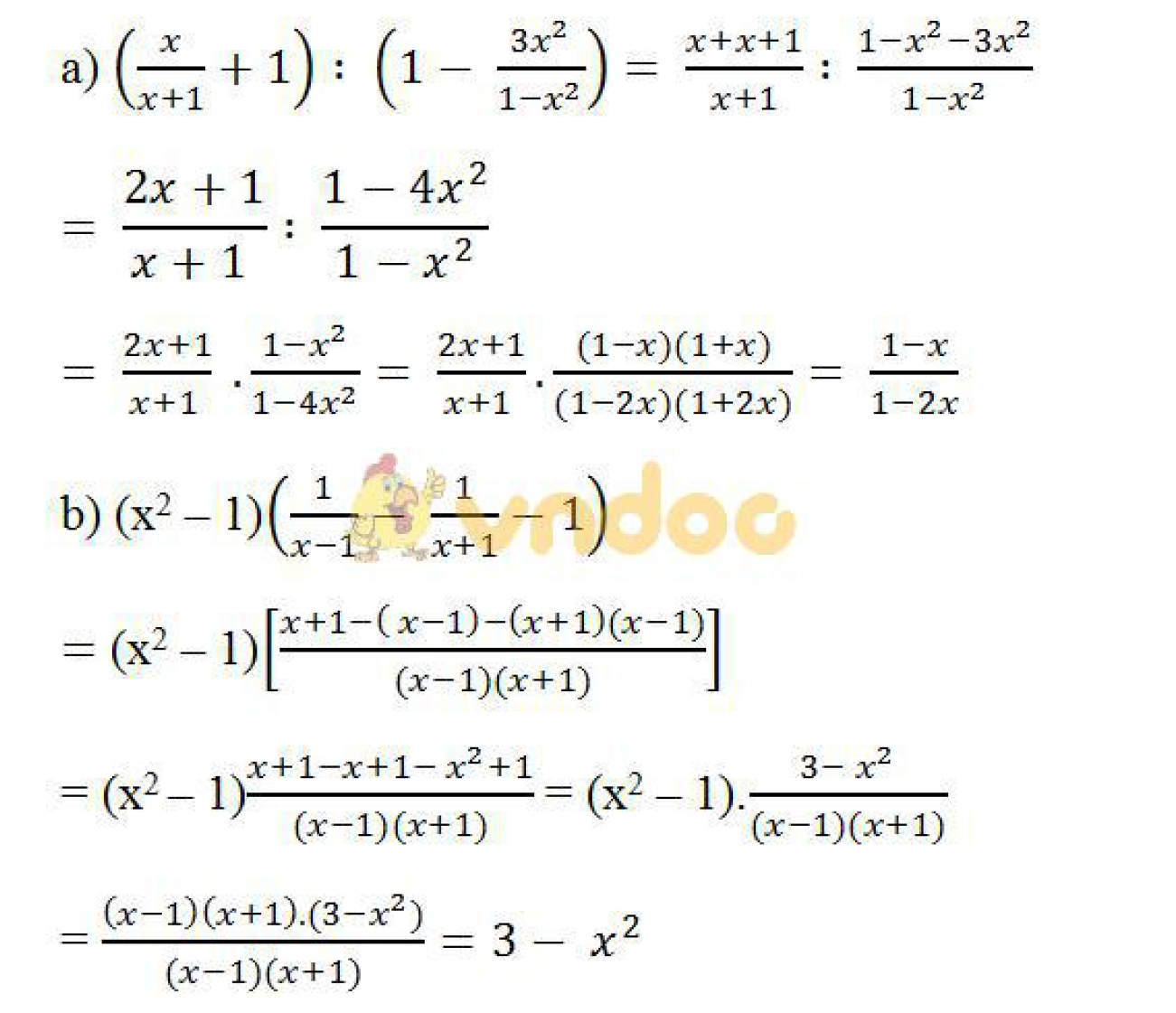
Bài 50 (trang 58 SGK Toán 8 Tập 1): Thực hiện các phép tính:
![]()
Lời giải:

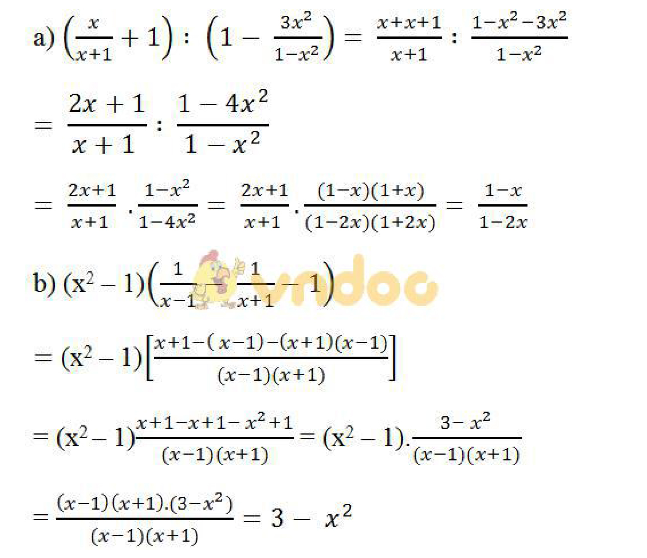
Bài 51 (trang 58 SGK Toán 8 Tập 1): Làm các phép tính sau:

Lời giải:

Bài 52 (trang 58 SGK Toán 8 Tập 1): Chứng tỏ rằng với mọi x ≠ 0 và x ≠ ±a (a là một số nguyên), giá trị của biểu thức

Vì a là số nguyên nên 2a là số chẵn.
Vậy giá trị của biểu thức đã cho là một số chẵn.
Bài 53 (trang 58 SGK Toán 8 Tập 1):
a) Biến đổi mỗi biểu thức sau thành một phân thức đại số:

b) Đối với các biểu thức có dạng đã cho có thể dự đoán như sau:
Qua các kết quả của các phần ở câu a) ta thấy kết quả tiếp theo sau là một phân thức mà tử bằng tổng của tử và mẫu, còn mẫu là tử của kết quả vế trước đó.
Như vậy có thể dự đoán rằng:
Nếu biểu thức có 4 gạch phân số thì kết quả là

Bài 54 (trang 59 SGK Toán 8 Tập 1): Tìm các giá trị của x để giá trị của các phân thức được xác định:
![]()
Lời giải:
a) Phân thức được xác định khi 2x2 – 6x ≠ 0
Hay 2x(x – 3) ≠ 0
Suy ra 2x ≠ 0 và x – 3 ≠ 0
Hay x ≠ 0 và x ≠ 3.
Vậy với x ≠ 0 và x ≠ 3 thì phân thức được xác định.
b) Phân thức được xác định khi x2 – 3 ≠ 0