Giải Sách bài tập Hóa học 9 bài 15, 16, 17
Giải Sách bài tập Hóa học 9 bài 15, 16, 17: Tính chất của kim loại và dãy hoạt động hóa học của kim loại
Giải Sách bài tập Hóa học 9 bài 15, 16, 17: Tính chất của kim loại và dãy hoạt động hóa học của kim loại được VnDoc sưu tầm và đăng tải, tổng hợp các câu hỏi trong sách bài tập nằm trong chương trình giảng dạy môn Hóa học 9. Hi vọng rằng đây sẽ là những tài liệu hữu ích trong công tác giảng dạy và học tập của quý thầy cô và các bạn học sinh. Mời quý thầy cô cùng các bạn tham khảo tài liệu dưới đây
Bài 15.1 trang 18 Sách bài tập Hóa học 9: a) Cho biết 3 tính chất vật lí của kim loại.
b) Cho biết 3 tính chất hoá học của kim loại.
Lời giải:
a) Ba tính chất vật lí của kim loại là: tính dẻo, tính dẫn điện, tính dẫn nhiệt.
b) Ba tính chất hoá học của kim loại là: tác dụng với phi kim, tác dụng với dung dịch axit, tác dụng với dung dịch muối của kim loại khác.
Bài 15.2 trang 18 Sách bài tập Hóa học 9: Hãy tìm những từ thích hợp để điền vào chỗ trống trong các câu sau đây:
a) .............. tác dụng với ........... tạo oxit.... tác dụng với clo cho muối.....
b) Kim loại........ hiđro trong dãy hoạt động hoá học phản ứng với dung dịch axit giải phóng...........
c) Kim loại ............ trong dãy hoạt động hoá học có thể đẩy đứng sau khỏi...... của kim loại...................
Lời giải:
a) Kim loại tác dụng với oxi tạo oxit, kim loại tác dụng với clo cho muối clorua.
b) Kim loại đứng trước hiđro trong dãy hoạt động hoá học phản ứng với dung dịch axit giải phóng hiđro.
c) Kim loại đứng trước trong dãy hoạt động hoá học có thể đẩy kim loại đứng sau ra khỏi dung dịch muối của kim loại đứng sau.
Bài 15.3 trang 18 Sách bài tập Hóa học 9: Cho các kim loại sau:
kẽm; magie; đồng; natri; sắt.
a) Kim loại nào hoạt động hoá học mạnh nhất? Cho thí dụ minh hoạ.
b) Kim loại nào hoạt động hoá học yếu nhất? Cho thí dụ minh hoạ.
Lời giải:
a) Kim loại hoạt động hoá học mạnh nhất là: natri.
Thí dụ: Chỉ Na phản ứng mạnh với nước ở nhiệt độ thường.
2Na + 2H2O → 2NaOH + H2
b) Kim loại hoạt động hoá học yếu nhất là: đồng.
Thí dụ: Các kim loại Zn, Mg, Na, Fe tác dụng với dung dịch HCl. Kim loại Cu không tác dụng.
Bài 15.4 trang 18 Sách bài tập Hóa học 9: Cho một số kim loại:
đồng; bạc; magie; sắt; natri.
Cho biết kim loại nào có những tính chất sau đây:
a) Dẫn điện tốt nhất.
b) Dễ nóng chảy nhất.
c) Tác dụng mãnh liệt với nước.
d) Không tác dụng với dung dịch axit clohiđric.
Lời giải:
a) Bạc là kim loại dẫn điện tốt nhất.
b) Natri là kim loại dễ nóng chảy nhất.
c) Natri là kim loại tác dụng mãnh liệt với nước.
d) Đồng và bạc là hai kim loại không tác dụng với dung dịch axit clohiđric.
Bài 15.5 trang 18 Sách bài tập Hóa học 9: Cho các kim loại được ghi bằng các chữ: M, N, O, P tác dụng riêng biệt với dung dịch HCl. Hiện tượng quan sát được ghi ở bảng dưới đây:
| KIM LOẠI | TÁC DỤNG VỚI DUNG DỊCH HCI |
| M | Giải phóng hiđro chạm |
| N | Giải phóng hiđro nhanh, dung dịch nóng dán |
| O | Không có hiện tượng gì xảy ra |
| P | Giải phóng hiđro rất nhanh, dung dịch nóng lên |
Theo em nếu sắp xếp 4 kim loại trên theo chiều hoạt động hoá học giảm dần, thì cách sắp xếp nào đúng trong các cách sắp xếp sau?
A. M, N, O, P; B. N, M, P,O; C. P, N, M, O; D. O, N, M, P.
Lời giải:
Đáp án C.
Bài 15.6 trang 19 Sách bài tập Hóa học 9: Cho các cặp chất sau:
a) Zn + HCl; b) Cu + ZnSO4; c) Fe + CuSO4; d) Zn + Pb(NO3)2;
e) Cu + HCl; g) Ag + HCl; h) Ag + CuSO4.
Những cặp nào xảy ra phản ứng? Viết các phương trình hoá học.
Lời giải:
Những cặp xảy ra phản ứng
a) Zn + 2HCl → ZnCl2 + H2;
c) Fe + CuSO4 → FeSO4 + Cu;
d) Zn + Pb(NO3)2 → Zn(NO3)2 + Pb.
Bài 15.7 trang 19 Sách bài tập Hóa học 9: Cho lá kẽm có khối lượng 25 gam vào dung dịch đồng sunfat. Sau khi phản ứng kết thúc, đem tấm kim loại ra rửa nhẹ, làm khô cân được 24,96 gam.
a) Viết phương trình hoá học.
b) Tính khối lượng kẽm đã phản ứng.
c) Tính khối lượng đồng sunfat có trong dung dịch.
Lời giải:
Dạng bài toán cho kim loại mạnh đẩy kim loại yếu ra khỏi dung dịch muối của chúng có hai trường hợp sau
+ Nếu đề bài cho khối lượng thanh kim loại tăng, lập phương trình đại số:
mkim loại giải phóng - mkim loại tan = mkim loại tăng
+ Nếu đề bài cho khối lượng thanh kim loại giảm, lập phương trình đại số:
mkim loại tan - mkim loại giải phóng = mkim loại giảm
a) Phương trình hoá học:
Zn + CuSO4 → ZnSO4 + Cu
Gọi x là số mol Zn tham gia
65x - 64x = 25 - 24,96 => x = 0,04 mol
mZn p/u = 0,04 x 65 = 2,6 g
c)
\(m_{CuSO_4}\) = 0,04 x 160 = 6,4g
Bài 15.8 trang 19 Sách bài tập Hóa học 9: Cho một lá đồng có khối lượng là 6 gam vào dung dịch bạc nitrat. Phản ứng xong, đem lá kim loại ra rửa nhẹ, làm khô cân được 13,6 gam.
a) Viết phương trình hoá học.
b) Tính khối lượng đồng đã phản ứng
Lời giải:
Khối lượng kim loại tăng: 13,6 - 6 = 7,6 (gam)
Cu + 2AgNO3 → Cu(NO3)2 + 2Ag
Gọi nCu = x mol
nAg = 2x mol
Có: 2x x 108 - 64x = 7,6
=> x = 0,05 → mCu = 0,05 x 64 = 3,2g
Bài 15.9 trang 19 Sách bài tập Hóa học 9: Hãy sắp xếp các kim loại trong từng dãy theo chiều mức độ hoạt động hoá học giảm dần:
a) K, Cu, Mg, Al, Zn, Fe; b) Fe, Na, Pb, Cu, Ag, Au;
c) Mg, Ag, Fe, Cu, Al.
Lời giải:
a) K, Mg, Al, Zn, Fe, Cu; b) Na, Fe, Pb, Cu, Ag, Au;
c) Mg, Al, Fe, Cu, Ag.
Bài 15.10 trang 19 Sách bài tập Hóa học 9: Hãy cho biết hiện tượng xảy ra, khi cho
a) Nhôm vào dung dịch magie sunfat;
b) Bạc vào dung dịch đồng clorua;
c) Nhôm vào dung dịch kẽm nitrat.
Viết các phương trình hoá học (nếu có) và giải thích.
Lời giải:
- Không có hiện tượng xảy ra:
Trường hợp a) vì Mg hoạt động hoá học mạnh hơn Al.
Trường hợp b) vì Cu hoạt động hoá học mạnh hơn Ag.
- Có hiện tượng xảy ra: màu xám của kẽm bám lên màu trắng bạc của nhôm.
Trường hợp c) 2Al + 3Zn(NO3)2 → 2Al(NO3)3 + 3Zn.
Al hoạt động hoá học mạnh hơn kẽm.
Bài 15.11 trang 20 Sách bài tập Hóa học 9: Dãy gồm các kim loại đều phản ứng với nước ở nhiệt độ thường tạo ra dung dịch có một trường kiềm là:
A. Na, Fe, K B. Na, Cu, K; C. Na, Ba, K; D. Na, Pb, K.
Lời giải:
Đáp án C.
Bài 15.12 trang 20 Sách bài tập Hóa học 9: Tính chất hoá học đặc trưng của kim loại là
A. tính oxi hoá và tính khử B. tính bazơ
C. tính oxi hoá D. tính khử.
Lời giải:
Chọn đáp án D.
Bài 15.13 trang 20 Sách bài tập Hóa học 9: Dung dịch muối tác dụng được với cả Ni và Pb là
A. Pb(NO3)2; B. Cu(NO3)2 C. Fe(NO3)2; D. Ni(NO3)2
Lời giải:
Chọn đáp án B.
Bài 15.14 trang 20 Sách bài tập Hóa học 9: Để làm sạch dung dịch đồng nitrat có lẫn tạp chất bạc nitrat người ta dùng kim loại
A. Mg; B. Cu; C. Fe; D. Au
Lời giải:
Chọn đáp án B.
Hướng dẫn giải: Dùng kim loại nào để sau khi tác dụng với dung dịch bạc nitrat chỉ cho ta một loại muối đồng nitrat. Do đó ta dùng Cu dư.
Cu (dư) + 2AgNO3 → Cu(NO3)2 + 2Ag
Lọc lấy dung dịch Cu(NO3)2.
Bài 15.15 trang 20 Sách bài tập Hóa học 9: Để oxi hoá hoàn toàn một kim loại R thành oxit phải dùng một lượng oxi bằng 40% lượng kim loại đã dùng. R là kim loại nào sau đây?
A. Fe; B. Al; C. Mg; D. Ca.
Lời giải:
Đáp án D.
Gọi nguyên tử khối của kim loại R cũng là R và có hoá trị là x.
4R + xO2 → 2R2Ox
Theo đề bài ta có:
32x/4R = 0,4 → R = 20x
Ta có bảng
| X | I | II | III |
| R | 20 | 40 (nhận) | 60 (loại) |
R là Ca có nguyên tử khối là 40.
Bài 15.16 trang 20 Sách bài tập Hóa học 9: Phát biểu nào sau đây không đúng?
A. Kim loại Cu, Ag tác dụng với dung dịch HCl, H2SO4 loãng.
B. Kim loại Al tác dụng với dung dịch NaOH.
C. Kim loại Al, Fe không tác dụng với H2SO4 đặc, nguội.
D. Kim loại Fe, Cu, Ag, Al, Mg không tan trong nước ở nhiệt độ thường.
Lời giải:
Đáp án A.
Bài 15.17 trang 20 Sách bài tập Hóa học 9: Các kim loại được xếp theo mức độ hoạt động hoá học tăng dần là:
A. Na, Al, Zn, Pb, Fe, Ag, Cu;
B. Al, Zn, Fe, Na, Cu, Ag, Pb;
C. Ag, Cu, Pb, Zn, Fe, Al, Na;
D. Ag, Cu, Pb, Fe, Zn, Al, Na.
Lời giải:
Đáp án D.
Bài 15.18 trang 20 Sách bài tập Hóa học 9: Cho phương trình hoá học sau: FexOy + yH2 → A + B
A và B lần lượt là:
A. xFe, H20; B. Fe, yH20;
C. xFe, yH20; D. Fe, xH20.
Lời giải:
Đáp án C.
Bài 15.19 trang 20 Sách bài tập Hóa học 9: Hòa tan hoàn toàn 18 gam một kim loại M cần dùng 800 ml dung dịch HCl 2,5M. Kim loại M là kim loại nào sau đây? (Biết hoá trị của kim loại trong khoảng từ I đến III)
A. Ca; B. Mg; C. Al; D. Fe.
Lời giải:
Đáp án C.
Gọi nguyên tử khối của kim loại M cũng là M, có hóa trị là x, ta có:
nM = 18/M (mol); nHCl = 0,8 x 2,5 = 2 mol
Phương trình hóa học
2M + 2x HCl → 2MClx + xH2
Có: 18/M x 2x = 4 → M = 9x
Xét bảng sau
| X | I | II | III |
| M | 9 | 18 | 27 |
Chỉ có kim loại hóa trị III ứng với M=27 là phù hợp, kim loại M là nhôm (Al)
Bài 15.20 trang 21 Sách bài tập Hóa học 9: Dung dịch M có chứa CuSO4 và FeSO4.
a) Cho Al vào dung dịch M, sau phản ứng tạo thành dung dịch N chứa 3 muối tan.
b) Cho Al vào dung dịch M, sau phản ứng tạo thành dung dịch N chứa 2 muối tan.
c) Cho Al vào dung dịch M, sau phản ứng tạo thành dung dịch N chứa 1 muối tan.
Giải thích mỗi trường hợp bằng phương trình hoá học.
Lời giải:
a) 2Al + 3CuSO4 → Al2(SO4)3 + 3Cu
Dung dịch N sau phản ứng chứa 3 muối tan, như vậy có khả năng phản ứng trên chưa kết thúc hoặc lượng nhôm ít nên dung dịch N chứa 3 muối Al2(SO4)3, CuSO4 dư và FeSO4 chưa phản ứng.
b) Dung dịch N sau phản ứng chứa 2 muối tan, nghĩa là lượng AI đã tác dụng hết với CuSO4, nên dung dịch N chứa 2 muối Al2(SO4)3 và FeSO4 còn dư (hoặc chưa phản ứng).
2Al + 3CuSO4 → Al2(SO4)3 + 3Cu ↓
c) Dung dịch N sau phản ứng chứa 1 muối tan, dung dịch sau phản ứng chỉ có Al2(SO4)3, do Al dư hoặc vừa đủ để phản ứng với 2 muối:
2Al + 3CuSO4 → Al2(SO4)3 + 3Cu ↓
2Al + 3FeSO4 → Al2(SO4)3 + 3Fe ↓
Bài 15.21 trang 21 Sách bài tập Hóa học 9: Cho các dung dịch CuSO4, FeSO4, MgSO4, AgNO3 và các kim loại Cu, Fe, Mg, Ag. Theo em những cặp chất nào (kim loại và muối) phản ứng được với nhau? Viết các phương trình hoá học.
Lời giải:
- Viết phương trình hoá học của phản ứng giữa Mg với các dung dịch CuSO4, FeSO4 và AgNO3.
- Viết phương trình hoá học của phản ứng giữa Fe với các dung dịch CuSO4, AgNO3.
- Viết phương trình hoá học của phản ứng giữa Cu với dung dịch AgNO3.
Bài 15.22 trang 21 Sách bài tập Hóa học 9: Cho hỗn hợp Al và Fe tác dụng với hỗn hợp dung dịch chứa AgNO3 và Cu(NO3)2 thu được dung dịch B và chất rắn D gồm 3 kim loại. Cho D tác dụng với dung dịch HCl dư, thấy có khí bay lên. Thành phần chất rắn D là:
A. Al, Fe và Cu; B. Fe, Cu và Ag;
C. Al, Cu và Ag; D. Kết quả khác.
Lời giải:
Đáp án B.
Al là kim loại hoạt động hoá học mạnh hơn Fe nên Al phản ứng hết trước. Trường hợp 1: Al vừa đủ phản ứng, còn Fe không phản ứng và kim loại Ag, Cu được giải phóng.
Al + 3AgNO3 → Al(NO3)3 + 3Ag
2Al + 3Cu(NO3)2 → 2Al(NO3)3 + 3Cu
Trường hợp 2: Al phản ứng hết, sau đó đến Fe phản ứng, Fe dư và kim loại Ag, Cu được giải phóng.
Fe + 2AgNO3 → Fe(NO3)2 + 2Ag
Fe + Cu(NO3)2 → Fe(NO3)2 + Cu
Chất rắn D gồm Ag, Cu và Fe.
Bài 15.23 trang 21 Sách bài tập Hóa học 9: Chọn 2 chất khử thỏa mãn A trong sơ đồ sau: FexOy+ A to→ Fe + ? Viết các phương trình hoá học.
Lời giải:
Hai chất khử thoả mãn A trong sơ đồ là H2, co: FexOy + yH2 → xFe + yH20 FexOy + yCO → xFe + yC02
Bài 15.24 trang 21 Sách bài tập Hóa học 9: Một hỗn hợp gồm CuO, FeO. Chỉ dùng Fe và dung dịch HCl, hãy nêu hai phương pháp (dùng sơ đồ) điều chế Cu nguyên chất.
Lời giải:
(CuO, FeO) H2, to→ (Cu,Fe) Hcl→ Cu + FeCl2 + HCl dư lọc → Cu
Bài 15.25 trang 21 Sách bài tập Hóa học 9: Cho 10 gam hỗn hợp gồm Fe và Cu tác dụng với dung dịch H2SO4 loãng, dư. Sau phản ứng thu được 2,24 lít khí hiđro (ở đktc), dung dịch X và m gam kim loại không tan. Xác định giá trị của m.
Lời giải:
Phương trình hóa học của phản ứng:
Cu + H2SO4 → Không phản ứng
Fe + H2SO4 → FeSO4 + H2
\(n_{H_2}\) = 2,24/22,4 = 0,1 mol
mFe = 0,1 x 56 = 5,6g. Khối lượng Cu không hòa tan là
m = 10 - 5,6 = 4,4g
Bài 15.26 trang 21 Sách bài tập Hóa học 9: Hoà tan 6,5 gam Zn trong dung dịch axit HCl dư, sau phản ứng cô cạn dung dịch thu được một lượng muối khan. Hãy tính lượng muối khan đó.
Lời giải:
Phương trình hóa học của phản ứng:
Zn + 2HCl → ZnCl2 + H2
nZn = 6,5/65 = 0,1 mol
Khối lượng muối thu được là: 0,1 x (65 +71) = 13,6g
Bài 15.27 trang 21 Sách bài tập Hóa học 9: Cho 12,7 gam hợp kim gồm Al, Cu và Mg vào dung dịch HCl dư. Sau phản ứng thu được 11,2 lít khí H2 (ở đktc) và 2,5 gam chất không tan. Xác định thành phần phần trăm khối lượng của hợp kim.
Lời giải:
Cu không tác dụng với axit HCl, do đó chất không tan là Cu và mCu = 2,5 (gam).
Khối lượng Al và Mg bằng: 12,7 - 2,5 = 10,2 (gam)
Phương trình hoá học của phản ứng:
2Al + 6HCl → 2AlCl3 + 3H2
Mg + 2HCl → MgCl2 + H2
Theo phương trình hoá học trên và dữ kiện đề bài cho, ta có:

Giải ra, ta có: x = y = 0,2 mol
mAl = 0,2 x 27 = 5,4g
mMg = 0,2 x 24 = 4,8g
%mAl = 5,4/12,7 .100% = 42,52%
%mMg = 4,8/12,7 .100% = 37,8%
%mCu = 100% - 42,52% - 37,8% = 19,68%
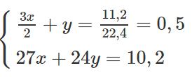
Bài 15.28 trang 21 Sách bài tập Hóa học 9: Cho 15 gam hợp kim nhôm - magie vào dung dịch HCl có 15,68 lít hiđro bay ra (ở đktc). Xác định thành phần phần trăm khối lượng của nhôm, magie trong hợp kim.
Lời giải:
Phương trình hoá học của phản ứng:
2Al + 6HCl → 2AlCl3 + 3H2
Mg + 2HCl → MgCl2 + H2
Gọi nAl = a mol
nMg = b mol
Theo phương trình hoá học trên và dữ liệu đề bài, ta có:
27a + 24b = 15
3a/2 + b = 0,7
Giải ra, ta có a = 0,2 (mol); b = 0,4 (mol)
%mAl = 0,2x27/15 x 100% = 36%
%mMg = 0,4 x 24/15 x 100% = 64%
Bài 15.29 trang 22 Sách bài tập Hóa học 9: Nhúng thanh sắt có khối lượng 50 gam vào 500 ml dung dịch CuSO4. Sau một thời gian khối lượng thanh sắt tăng 4%. Xác định lượng Cu thoát ra và nồng độ mol của dung dịch sắt sunfat.
Lời giải:
Khối lượng thanh sắt tăng: 50x4/100 = 2(g). Gọi khối lượng sắt tác dụng là x gam
Phương trình hóa học của phản ứng:
Fe + CuSO4 → FeSO4 + Cu
Theo phương trình hóa học trên và đề bài, ta có:
64x/56 - x = 2
=> x= 14g; nFe = 14/56 = 0,25 mol
Vậy khố lượng Cu sinh ra là 16 gam
Fe + CuSO4 → FeSO4 + Cu
\(n_{FeSO_4}\) = nFe = 0,25
\(C_{MFeSO_4}\) = 0,25/0,5 = 0,5M
Bài 15.30 trang 22 Sách bài tập Hóa học 9: Cho m gam kim loại M hoà tan hoàn toàn trong 100 ml dung dịch HCl 0,1M (D = 1,05 g/ml) được dung dịch X có khối lượng là 105,11 gam. Xác định m và M, biết rằng kim loại có hoá trị từ I đến III.
Lời giải:
Khối lượng dung dịch HCl:
mdd = V x D = 100 x 1,05 = 105 (gam)
nHCl = 0,1 x 0,1 = 0,01 (mol)
Gọi hoá trị của kim loại M là n
Phương trình hoá học của phản ứng:
2M + 2nHCl → 2MCln +
\(n_{H_2}\) (1)
Áp dụng định luật bảo toàn khối lượng
m +mHCl = mmuối +
\(m_{H_2}\)
m = 105,11 + 0,01/2 x 2 - 105 = 0,12g
Theo phương trình hóa học (1):
nM= 0,01/n mol → 0,01/n x M = 0,12 → M = 12n
Kẻ bảng
| n | 1 | 2 | 3 |
| M | 12 | 24 | 36 |
| loại | nhận | loại |
Vậy kim loại M là Mg.
Mời các bạn tham khảo tài liệu sau: Hóa học lớp 9, Giải bài tập Hóa học 9, Tài liệu học tập lớp 9, Đề thi giữa kì 1 lớp 9, Đề thi học kì 1 lớp 9