Giải Sách bài tập Hóa học 9 bài 32
Giải Sách bài tập Hóa học 9 bài 32: Luyện tập chương 3: Phi kim - Sơ lược về bảng tuần hoàn các nguyên tố hóa học
Giải Sách bài tập Hóa học 9 bài 32: Luyện tập chương 3: Phi kim - Sơ lược về bảng tuần hoàn các nguyên tố hóa học được VnDoc sưu tầm và đăng tải, tổng hợp các câu hỏi trong sách bài tập nằm trong chương trình giảng dạy môn Hóa học 9. Hi vọng rằng đây sẽ là những tài liệu hữu ích trong công tác giảng dạy và học tập của quý thầy cô và các bạn học sinh. Mời quý thầy cô cùng các bạn tham khảo tài liệu dưới đây
Bài 32.1 trang 40 Sách bài tập Hóa học 9: Ngâm hỗn hợp các kim loại Al, Cu, Fe trong mỗi dung dịch sau:
a) Dung dịch CuSO4 (dư).
b) Dung dịch AgNO3 (dư).
c) Dung dịch FeSO4 (dư).
Viết các phương trình hoá học. Kim loại nào thu được trong mỗi trường hợp?
Lời giải:
- Kim loại Cu thu được sau khi ngâm hỗn hợp các kim loại Al, Cu, Fe vào dung dịch CuSO4 dư
2Al + 3CuSO4 → Al2(SO4)3 + 3Cu ↓
Fe + CuSO4 → FeSO4 + Cu ↓
- Kim loại Ag thu được sau khi ngâm hỗn hợp các kim loại AI, Cu, Fe vào dung dịch AgNO3 dư:
Al + 3AgNO3 → Al(NO3)3 + 3Ag ↓
Fe + 2AgNO3 → Fe(NO3)2 + 2Ag ↓
Cu + 2AgNO3 → Cu(NO3)2 + 2Ag ↓
- Kim loại Fe và Cu thu được sau khi ngâm hỗn hợp các kim loại AI, Cu, Fe vào dung dịch FeSO4dư:
2Al + 3FeSO4 → Al2(SO4)3 + 3Fe ↓
Bài 32.3 trang 40 Sách bài tập Hóa học 9: Có bốn mẫu khí A, B, C, D đựng riêng biệt trong các bình thủy tinh. Mỗi khí có một số tính chất trong các tính chất sau:
A. Cháy trong không khí tạo ra chất lỏng không màu (ở nhiệt độ thường), chất lỏng này làm cho đồng(II) sunfat khan màu trắng chuyển thành màu xanh.
B. Độc, cháy với ngọn lửa màu xanh, sinh ra chất khí làm đục nước vôi trong.
C. Không cháy nhưng làm cho ngọn lửa cháy sáng chói hơn.
D. Không cháy mà còn làm tắt ngọn lửa và làm quỳ tím ẩm hoá đỏ.
Khí nào nói trên là: hiđro; oxi; cacbon đioxit; cacbon oxit?
Lời giải:
A: Khí H2; C: Khí O2;
B: Khí CO; D: Khí CO2.
Bài 32.4 trang 40 Sách bài tập Hóa học 9: Cặp nguyên tố nào sau đây dễ kết hợp với nhau để tạo thành một hợp chất ổn định?
a) Zn, Ne; b) H, S; c) Br, Be; d) O, Na; e) K, Kr.
Lời giải:
Những cặp nguyên tố dễ kết hợp với nhau để tạo thành hợp chất ổn định:
b) H, S cho hợp chất H2S; c) Br, Be cho hợp chất BeBr2;
d) O, Na cho hợp chất Na2O
Bài 32.5 trang 41 Sách bài tập Hóa học 9: Có 4 lá kim loại: sắt, đồng, nhôm, bạc. Làm thế nào để có thể nhận biết được mỗi kim loại bằng phương pháp hoá học. Viết các phương trình hoá học.
Lời giải:
- Kim loại nào tan trong dung dịch NaOH đặc tạo bọt khí bay ra là Al.
- Ba kim loại còn lại, kim loại nào tan trong dung dịch HCl và tạo bọt khí bay lên là Fe.
- Hai kim loại còn lại, kim loại nào đẩy được bạc ra khỏi dung dịch AgNO3 là Cu.
- Kim loại còn lại là Ag (không phản ứng với dung dịch AgNO3.
Bài 32.6 trang 41 Sách bài tập Hóa học 9: Trong phòng thí nghiệm có 3 lọ mất nhãn đựng ba chất bột trắng là: BaCO3, NaCl, Na2CO3. Làm thế nào để nhận ra hoá chất trong mỗi lọ với điều kiện chỉ dùng thêm dung dịch HCl loãng?
Lời giải:
- Lần lượt cho 3 chất vào 3 ống nghiệm đựng dung dịch HCl, nếu chất nào tan và có khí bay ra là Na2CO3, BaCO3 và chất nào tan mà không có khí bay ra là NaCl.
Na2CO3 + 2HCl → 2NaCl + CO2 + H2O (1)
BaCO3 + 2HCl → BaCl2 + CO2 + H2O (2)
- Sau đó hoà tan một ít Na2CO3 và BaCO3 vào nước. Chất nào tan trong nước là Na2CO3
Chất không tan trong nước là BaCO3.
Bài 32.7 trang 41 Sách bài tập Hóa học 9: Hình vẽ 3.5 là thiết bị điều chế khí clo trong phòng thí nghiệm.
a) X và Y là những chất nào trong số các chất sau?
X: H2O, dd HCl, dd H2SO4, dd NaOH, dd NaCl.
Y: NaCl, CaCO3, MnO2, CuCl2, Na2SO4, KMnO4.
Viết phương trình hoá học điều chế khí clo từ những chất đã chọn ở trên.
Lời giải:
a) X là: dd HCl
Y là: MnO2, KMnO4
b) Phương trình hoá học của phản ứng điều chế clo.
MnO2 + 4HCl → MnCl2 + 2H2O + Cl2
2KMnO4 + 16HCl → 2KCl + 2MnCl2 + 5Cl2 + 8H2O
Bài 32.8 trang 41 Sách bài tập Hóa học 9: Một nguyên tố X tạo được các hợp chất sau: XH3, X2O5. Trong bảng tuần hoàn các nguyên tố hoá học, nguyên tố X cùng nhóm với
A. Agon; B. Nitơ;
C. Oxi; D. Flo.
Lời giải:
Bài 32.9 trang 41 Sách bài tập Hóa học 9: Cho kim loại Al có dư vào 400 ml dung dịch HCl 1M. Dẫn khí tạo ra qua ống đựng CuO dư, nung nóng thì thu được 11,52 gam Cu. Tính hiệu suất của quá trình phản ứng.
Lời giải:
nHCl = 0,4 mol
2Al + 6HCl → 2AlCl3 + 3H2(1)
H2 + CuO to→ Cu + H2O(2)
Theo (1) và (2) ta có sơ đồ chuyển hóa:
6 mol HCl → 3 mol H2 → 3 mol Cu
0,4 mol HCl x mol Cu
x = 0,4 x 3 /6 = 0,2 mol → mCu = 0,2 x 64 = 12,8g
H% = 11,52/12,8 . 100% = 90%
Bài 32.10 trang 41 Sách bài tập Hóa học 9: Nung hỗn hợp CaCO3 và MgCO3 thu được 76 gam hai oxit và 33,6 lít CO2 (đktc). Tính khối lượng của hỗn hợp ban đầu.
Lời giải:
Phương trình hóa học: CaCO3 to→ CaO + CO2
MgCO3 to→ MgO + CO2
Theo định luật bảo toàn khối lượng:
\(m_{CaCO_3}\) = mCaO +
\(m'_{CO_2}\)
\(m_{MgCO_3}\) = mMgO +
\(m''_{CO_2}\)
∑
\(m_{CO_2}\) = 33,6/22,4 x 44 = 66g
\(m_{CaCO_3}+m_{MgCO_3}=m_{CaO+}m_{MgO}+m'_{CO_2}+m''_{CO_2}\)
=∑mhaioxit + ∑
\(m_{CO_2}\) = 76 + 66 = 142g
Lưu ý: Trong một phản ứng, có n chất (kể cả cất tham gia và chất tạo thành), nếu biết n-1 chất thì nên áp dụng định luật bảo toàn khối lượng.
Bài 32.11 trang 41 Sách bài tập Hóa học 9: Có hai lá kẽm khối lượng như nhau. Một lá cho vào dung dịch đồng(II) nitrat, lá kia cho vào dung dịch chì(II) nitrat. Sau cùng một thời gian phản ứng, khối lượng lá kẽm thứ nhất giảm 0,05 gam.
a) Viết các phương trình hoá học.
b) Khối lượng lá kẽm thứ 2 tăng hay giảm là bao nhiêu gam? Biết rằng trong cả 2 phản ứng trên, khối lượng kẽm bị hoà tan bằng nhau.
Lời giải:
Zn + Cu(NO3)2 → Zn(NO3)2 + Cu
nZn = x
Theo đầu bài ta có: 65x - 64x = 0,05
=> x = 0,05 (mol); mZn = 0,05 x 65 = 3,25 (gam).
Zn + Pb(NO3)2 → Zn(NO3)2 + Pb↓
0,05 mol 0,05 mol
Khối lượng lá kẽm thứ 2 tăng: (0,05 x 207) - 3,25 = 7,1 (gam).
Bài 32.12 trang 41 Sách bài tập Hóa học 9: Cho hỗn hợp 2 kim loại Fe và Cu tác dụng với khí clo dư thu được 59,5 gam hỗn hợp muối. Cũng lượng hỗn hợp trên cho tác dụng với lượng dư dung dịch HCl 10% thu được 25,4 gam một muối.
a) Tính phần trăm khối lượng mỗi muối trong hỗn hợp muối thu được.
b) Tính thể tích dung dịch HCl 10% (D = 1,0 g/ml) cần dùng.
Lời giải:
2Fe + 3Cl2 to→ 2FeCl3 (
\(M_{FeCl_3}\) = 162,5 gam)
Cu + Cl2 to→ CuCl2
Fe + 2HCl → FeCl2 + H2 (
\(M_{FeCl_2}\) = 127 gam)
nFe = x mol
Theo đề bài và phương trình hóa học trên ta có:
127x = 25,4 => 0,2 mol
162,5x + 135y = 59,5. Thay x= 0,2 vào phương trình, ta có:
32,5 + 135y = 59,5 => y = 0,2
\(m_{FeCl_3}\) = 0,2 x 162,5 = 32,5g
\(m_{CuCl_2}\) = 0,2 x 135 = 27g
Tính % khối lượng mỗi muối (học sinh tự tính).
b) maxit cần dùng = 0,2 x 2 x 36,5 = 14,6g
mdung dịch HCl = 146g => Vdd HCl = 146/1 = 146ml
Bài 32.13 trang 42 Sách bài tập Hóa học 9: Cho 23,6 gam hỗn hợp gồm Mg, Fe, Cu tác dụng vừa hết với 91,25 gam dung dịch HCl 20% thu được dung dịch A và 12,8 gam chất không tan.
Tính khối lượng các kim loại trong hỗn hợp ban đầu.
Lời giải:
Cu không tác dụng với dung dịch HCl nên 12,8 gam là khối lượng của Cu.
nHCl = 91,25 x 20/(100x36,5) = 0,5 mol
Phương trình hóa học:
Mg + 2HCl → MgCl2 + H2
Fe + 2HCl → FeCl2 + H2
nMg = x
nFe = y
Ta có các phương trình:
24x + 56y = 23,6 - 12,8 = 10,8 (I)
2x + 2y = 0,5 (II)
Giải phương trình (I), (II) ta tìm được x và y:
x = 0,1; y = 0,15; mMg = 2,4g; mFe = 8,4g
Bài 32.14 trang 42 Sách bài tập Hóa học 9: Nguyên tố A tạo được 2 loại oxit. Phần trăm về khối lượng của oxi trong 2 oxit lần lượt bằng 50% và 60%. Xác định nguyên tử khối của A và cho biết công thức 2 oxit trên.
Lời giải:
Gọi công thức 2 oxit là A2Ox và A2Oy, đồng thời kí hiệu A là nguyên tử khối. Ta có tỉ lệ khối lượng oxi trong 2 oxit là: 50% và 60%. Vậy tỉ lệ khối lượng A trong 2 oxit là 50% và 40%.

Chỉ có các cặp x, y sau có thể chấp nhận:

- Nếu chọn x = 2 → ta có 32 = 2A → A = 16 (loại) vì A = 16 là oxi.
- Nếu chọn x = 4 → ta có 64 = 2A → A = 32 → A là lưu huỳnh (S).
Tỉ lệ giữa các nguyên tố là tối giản, ta có hai oxit là: SO2 và SO2
Bài 32.15 trang 42 Sách bài tập Hóa học 9: Cho 8 gam một oxit (có công thức XO3) tác dụng với dung dịch NaOH dư tạo ra 14,2 gam muối khan.Tính nguyên tử khối của X.
Lời giải:
Gọi nguyên tử khối của nguyên tố X cũng là X.
Phương trình hoá học:
XO3 + 2NaOH → Na2XO4 + H2O
(X + 48) gam (46 + X + 64) gam
8 gam 14,2 gam
8(46 +X + 64)= 14,2(X + 48)
Giải ra ta có X = 32. Nguyên tố X là lưu huỳnh (S).
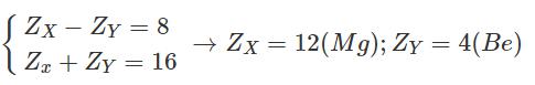
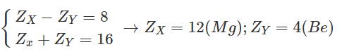
Bài 32.16 trang 42 Sách bài tập Hóa học 9: Hai nguyên tố X và Y ở hai chu kì kế tiếp nhau trong bảng tuần hoàn các nguyên tố hoá học và có tổng số điện tích hạt nhân là 16.
a) Xác định tên các nguyên tố X và Y
b) Cho biết vị trí của 2 nguyên tố trong bảng tuần hoàn.
Lời giải:

Tên nguyên tố X là magie, nguyên tố Y là beri.
b) Nguyên tố Mg ở chu kì 3 nhóm IIA.
Nguyên tố Be ở chu kì 2 nhóm IIA.
Bài 32.17 trang 42 Sách bài tập Hóa học 9: Xác định thành phần phần trăm (về thể tích) của hỗn hợp khí gồm N2, CO và CO2, biết rằng khi cho 10,0 lít (ở đktc) hỗn hợp khí đó đi qua một lượng dư nước vôi, rồi cho qua đồng(II) oxit dư đốt nóng thì thu được 5 gam kết tủa và 3,2 gam đồng.
Nếu cũng lấy 10,0 lít (ở đktc) hỗn hợp khí đó cho đi qua ống đồng(II) oxit dư đốt nóng, rồi đi qua một lượng dư nước vôi trong thì thu được bao nhiêu gam kết tủa?
Lời giải:
Phương trình hóa học của phản ứng:
CO2 + Ca(OH)2 → CaCO3 + H2O
CuO + CO to→ CO2 + Cu
\(n_{CaCO_3}\) = 5/100 = 0,05 mol
nCu = 3,2/64 = 0,05 mol
Như vậy: nhh = 10/22,4 = 0,45 mol;
\(n_{N_2}\) = 0,45 - 0,05 - 0,05 = 0,35 mol
%
\(V_{N_2}\) = 0,35/0,45 x 100% = 77,78%
%
\(V_{CO_2}\) = %VCO = 0,05/0,45 x 100% = 11,11%
Nếu cho phản ứng (2) thực hiện trước rồi mới đến phản ứng (1) thì
∑
\(n_{CO_2}\) = 0,05 + 0,05 = 0,1 mol
\(n_{CaCO_3}\) = 0,1 mol
Vậy
\(m_{CaCO_3}\) = 0,1 x 100 = 10g
Bài 32.18 trang 42 Sách bài tập Hóa học 9: Hoà tan 10 gam hỗn hợp 2 muối cacbonat của kịm loại hoá trị II và III bằng dung dịch HCl, ta thu được dung dịch X và 0,672 lít khí bay ra (ở đktc). Tính khối lượng muối thu được khi cô cạn dung dịch X.
Lời giải:
Áp dụng phương pháp tăng giảm khối lượng
Viết phương trình hoá học của XCO3 và Y2(CO3)3 với dung dịch HCl, ta nhận thấy khi chuyển từ muối cacbonat thành muối clorua thì cứ 1 mol CO2 bay ra thì khối lượng tăng: 71 - 60 = 11 (gam)
0,03 mol CO2 bay ra thì khối lượng tăng: 0,03 x 11 gam
Tổng khối lượng muối clorua tạo thành: 10 + (0,03 x 11)= 10,33 (gam)
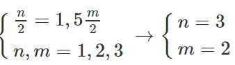
Bài 32.19 trang 42 Sách bài tập Hóa học 9: Thể tích khí clo cần phản ứng với kim loại M bằng 1,5 lần lượng khí sinh ra khi cho cùng lượng kim loại đó tác dụng hoàn toàn với dung dịch axit HCl dư trong cùng điều kiện. Khối lượng muối clorua sinh ra trong phản ứng với clo gấp 1,2886 lần lượng sinh ra trong phản ứng với axit HCl. Xác định kim loại M
Lời giải:
Phương trình hóa học của phản ứng:
M + n/2HCl → MCln
M + mHCl → MClm + m/2H2
Theo đề bài, ta có:
và M + 106,5 = 1,2886 (M+71)
Giải ra, ta có M = 52 (Cr)
Bài 32.20 trang 42 Sách bài tập Hóa học 9: X, Y là hai nguyên tố halogen thuộc hai chu kì liên tiếp trong bảng tuần hoàn. Hỗn hợp A chứa 2 muối X, Y với natri. Để kết tủa hoàn toàn 2,2 gam hỗn hợp A phải dùng 150 ml dung dịch AgNO3 0,2M. Xác định hai nguyên tố X và Y.
Lời giải:
NaX + AgNO3 → NaNO3 + AgX
a mol a mol a mol a mol
NaY + AgNO3 → NaNO3+ AgY
b mol b moi b mol b mol
\(n_{AgNO_3}\) = 0,2 x 150/1000 = 0,03 mol
\(m_{AgNO_3}\) = 0,3 x 170 = 5,1g
\(n_{AgNO_3}\) = 0,O3 =>
\(m_{NaNO_3}\) = 0,03 x 85 = 2,55g
Áp dụng định luật bảo toàn khối lượng, ta có:
2,2 + 5,1 = 2,55 + mkết tủa → mkết tủa = 4,75 (gam)
(108 + X)a + (108 + Y)b = 4,75; a + b = 0,03 (mol)
Xa + Yb + 15,1. Cho X > Y; Xa + Xb > Xa + Yb > Ya + Yb
X > 1,51/0,03 > Y > X > 50,3 > Y
X và Y là các halogen liên tiếp, vậy đó là brom (80) và Cl (35,5).
Bài 32.21 trang 42 Sách bài tập Hóa học 9: Cho 8,3 gam hỗn hợp hai kim loại đều có hoá trị III là X và Y (có tỉ lệ số mol là 1:1) tác dụng vừa đủ với 6,72 lít khí clo. Sau đó hoà tan toàn bộ muối tạo ra trong nước (dư) được 250 ml dung dịch. Xác định hai kim loại và nồng độ mol mỗi muối trong dung dịch thu được.
Lời giải:
Kí hiệu X,Y cũng là nguyên tử khối của 2 kim loại, số mol của 2 kim loại là a
2X + 3Cl2 to→ 2XCl3
a mol 3a/2 mol a mol
2Y + 3Cl2 to→ 2YCl3
a mol 3a/2 mol a mol
Theo phương trình hóa học trên và dữ liệu đề bài, ta có:
3a/2 + 3a/2 = 6,72/22,4 = 0,3 mol => a = 0,1 mol
Xa + Ya = 8,3 → 0,1(X + Y) = 8,3 → X + Y = 83
Vậy X = 56 (Fe) và Y = 27 (Al)
\(C_{M\left(AlCl_3\right)}=C_{M\left(FeCl_{_3}\right)}\) = 0,1/0,25 = 0,4M
Bài 32.22 trang 42 Sách bài tập Hóa học 9: Đem nung 6,7 gam hỗn hợp 2 muối CaCO3 và XCO3 có tỉ lệ số mol là 1:2 đến khối lượng không đổi, thấy khối lượng chất rắn giảm đi 3,3 gam. Dẫn toàn bộ lượng khí sinh ra qua bình đựng 2,5 lít dung dịch nước vôi trong 0,02M.
a) Xác định kim loại X
b) Tính nồng độ mol của các chất trong dung dịch khi cho CO2 vào nước vôi trong.
Lời giải:
a) Khối lượng chất rắn giảm đi là khối lượng khí CO2 bay ra
\(n_{CO_2}\) = 3,3/44 = 0,075 mol
Phương trình hoá học của phản ứng:
CaCO3 to→ CaO + CO2
a mol a mol
XCO3 to→ XO + CO2
2a mol 2a mol
Theo phương trình hoá học trên và dữ kiện đề bài, ta có:
Giải hệ phương trình trên ta thu được: X = 24 (Mg).
b)
\(n_{Ca\left(OH\right)_2}\) = 0,02 x 2,5 = 0,05 mol
Như vậy tạo thành 2 muối: CaCO3 và Ca(CO3)2
CO2 + Ca(OH)2 → CaCO3 + H2O
0,05 0,05 0,05 (mol)
Số mol CO2 dư: 0,075 - 0,05 = 0,025 (mol) nên có phản ứng
CO2 + CaCO3 + H2O → Ca(HCO3)2
0,025 0,025 0,025 (mol)
Dung dịch thu được có 0,025 mol Ca(HCO3)2
\(C_{M\left(Ca\left(HCO_3\right)_2\right)}\) = 0,025/0,25 = 0,01M
Mời các bạn tham khảo tài liệu sau: Hóa học lớp 9, Giải bài tập Hóa học 9, Tài liệu học tập lớp 9, Đề thi giữa kì 1 lớp 9, Đề thi học kì 1 lớp 9