Vật lý lớp 6 bài 2: Đo độ dài (tiếp theo)
Lý thuyết Vật lý lớp 6 bài 2
Lý thuyết Vật lý lớp 6 – Bài 2: Đo độ dài (tiếp theo), tổng hợp toàn bộ các kiến thức trọng tâm về cách đo độ dài và các đơn vị đo liên quan, giúp học sinh nắm vững lý thuyết và áp dụng chính xác khi làm bài tập. Tài liệu không chỉ hỗ trợ học sinh củng cố kỹ năng giải bài tập Vật lý lớp 6, chương 1, mà còn là nguồn tham khảo hữu ích cho giáo viên trong quá trình giảng dạy, xây dựng bài tập và hướng dẫn học sinh chuẩn bị tốt cho các bài kiểm tra, bài thi trong năm học. Mời các thầy cô và các em học sinh tham khảo chi tiết nội dung bài học.
I. Tóm tắt lý thuyết Vật lý 6
1. Cách đo độ dài
- Ước lượng độ dài vật cần đo để sử dụng thước đo có GHĐ và ĐCNN thích hợp.
- Đặt thước đúng quy cách (đặt dọc theo vật cần đo, một đầu của vật phải trùng với vạch số 0 của thước).

- Đặt mắt đúng quy định hướng nhìn vuông góc với cạnh của thước ở đầu kia của vật.

- Đọc và ghi kết quả (đọc theo vạch chia gần nhất với đầu kia của vật).
2. Cách ghi kết quả đo chính xác
+ Kết quả thu được phải là bội số của ĐCNN và có cùng đơn vị với ĐCNN của dụng cụ đo.
+ Phần thập phân của ĐCNN có bao nhiêu chữ số thì phần thập phân của kết quả đo cũng có bấy nhiêu chữ số (phải ghi kết quả đo chính xác đến ĐCNN của dụng cụ đo hay nói cách khác chữ số cuối cùng của kết quả đo phải được ghi theo ĐCNN của dụng cụ đo).
II. Phương pháp giải
1. Cách đặt thước và đọc kết quả
- Đặt thước và mắt nhìn đúng cách. Tức là đặt thước dọc theo độ dài cần đo sao cho một đầu của vật ngang bằng với vạch số 0 của thước.
- Đọc và ghi kết quả đo đúng quy định. Tức là đọc và ghi kết quả đo theo vạch chia gần nhất với đầu kia của vật theo công thức:
![]()
Trong đó:
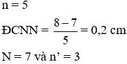
N là giá trị nhỏ ghi trên thước mà ở gần đầu kia của vật cần đo
n’ là số khoảng chia kể từ vạch có giá trị nhỏ (N) đến vạch chia gần nhất với đầu kia của vật.
Ví dụ:

Dựa vào hình vẽ trên ta có:

Vậy chiều dài của bút chì là:
![]()
2. Ước lượng và chọn thước đo cho thích hợp
- Ước lượng: Bằng mắt và kinh nghiệm trong cuộc sống ta đoán độ dài cần đo khoảng bao nhiêu.
- Chọn thước đo:
+ Kích thước cần đo lớn: Chọn thước đo có GHĐ lớn sao cho số lần thực hiện đo là ít nhất (Nếu có hai thước đo cùng GHĐ thì ta chọn thước có ĐCNN có giá trị nhỏ nhất).
+ Kích thước cần đo nhỏ: Cần có độ chính xác cao nên ta chọn thước có ĐCNN có giá trị nhỏ nhất.
Lưu ý: Tùy thuộc vào hình dạng của vật cần đo độ dài mà ta chọn thước kẻ, thước mét, thước dây hay thước kẹp. Chẳng hạn:
+ Muốn đo độ dài của cái bàn ta dùng thước mét.
+ Muốn đo độ dày của quyển vở ta dùng thước kẻ.
+ Muốn đo đường kính của viên bi ta dùng thước kẹp.
+ Muốn đo chu vi của thân cây ta dùng thước dây.
II. Trắc nghiệm bài Đo độ dài
Câu 1: Tìm kết luận sai khi nói về cách chai độ dài
A. Phải ước lượng độ dài cần đo
B. Đặt thước đo và mắt nhìn đúng cách
C. Mắt đặt ở vị trí bất kì sao cho quan sát thấy vật và vạch chia trên thước
D. Đọc và ghi kết quả đo đúng quy định
Câu 2: Một bạn dùng thước đo diện tích tờ giấy hình vuông và ghi kết quả 102m2. Bạn ấy đã dùng thước đo có ĐCNN
A. 1cm
B. nhỏ hơn 1cm
C. lớn hơn 1cm
D. 0,5cm
Câu 3: Một bạn dùng thước đo độ dài có ĐCNN là 1dm để đo chiều dài lớp học. Trong các cách chia ghi kết quả dưới đây, cách ghi nào là đúng?
A. 5m
B. 50dm
C. 500cm
D. 500dm
Câu 4: Hình vẽ nào mô tả vị trí đặt mắt để đọc kết quả đo?
A. Đặt mắt nhìn theo hướng xiên sang phải.
B. Đặt mắt nhìn theo hướng xiên sang trái.
C. Đặt mắt nhìn theo hướng vuông góc với cạnh thước tại đầu của vật.
D. Cả 3 phương án trên
Câu 5: Trong các hình sau đây, hình nào vẽ vị trí đặt thước đúng để đo chiều dài bút chì?
A. Không đặt thước dọc theo chiều dài bút chì.
B. Đặt thước dọc theo chiều dài bút chì, nhưng một đầu không ngang bằng với vạch số 0.
C. Đặt thước dọc theo chiều dài bút chì, vạch số 0 ngang với một đầu của bút chì.
D. Cả 3 đều đúng
Câu 6: Hãy chọn từ thích hợp trong khung để điền vào chỗ trống: Khi đo độ dài cần đặt mắt nhìn theo hướng ..... với cạnh thước ở đầu kia của vật.
A. Ngang bằng với
B. Vuông góc
C. Gần nhất
D. Dọc theo
Câu 7: Chọn phát biểu không đúng khi thực hành đo độ dài:
A. Chọn thước có GHĐ và có ĐCNN thích hợp.
B. Chọn thước có GHĐ và có ĐCNN lớn nhất.
C. Ước lượng độ dài cần đo.
D. Đặt thước dọc theo độ dài cần đo sao cho một đầu của vật ngang bằng với vạch số 0 của thước.
Câu 8: Cách đặt thước đo đúng:
A. Đặt thước đo dọc theo độ dài cần đo, vạch số 0 vuông góc với một đầu của vật.
B. Đặt thước đo dọc theo độ dài cần đo, vạch số 0 sát mép bên phải một đầu của vật.
C. Đặt thước đo dọc theo độ dài cần đo, vạch số 0 sát mép bên trái một đầu của vật.
D. Đặt thước đo dọc theo độ dài cần đo, vạch số 0 ngang với một đầu của vật.
Câu 9: Một bạn dùng thước đo độ dài có ĐCNN là 2cm để đo chiều dài cuốn sách giáo khoa Vật lí 6. Trong các cách ghi kết quả đo dưới đây, cách ghi nào là đúng?
A. 240mm.
B. 23cm.
C. 24cm.
D. 230mm.
Câu 10: Muốn đo độ dài cuốn SGK Vật lý 6 một cách thuận lợi nhất nên dung
A. Thước có GHĐ 25cm và ĐCNN 1mm.
B. Thước có GHĐ 20cm và ĐCNN 1mm.
C. Thước có GHĐ 20cm và ĐCNN 1cm.
D. Thước có GHĐ 30cm và ĐCNN 1cm.
Câu 11: Một bàn học cá nhân dài khoảng 1m. Dùng thước nào sau đây có thể đo chính xác nhất độ dài của bàn?
A. Thước thẳng có GHĐ 50cm và ĐCNN 1mm.
B. Thước thẳng có GHĐ 150cm và ĐCNN 5cm.
C. Thước thẳng có GHĐ 150cm và ĐCNN 1mm.
D. Thước thẳng có GHĐ 50cm và ĐCNN 1cm.
Câu 12: Một bạn dùng thước đo độ dài có ĐCNN là 1dm để đo chiều dài lớp học. Trong các cách ghi kết quả dưới đây, cách ghi nào là đúng?
A. 5m.
B. 50dm.
C. 500cm.
D. 50,0dm.
Câu 13: Sách giáo khoa Vật lí 6 dày khoảng 0,5cm. Khi đo chiều dày này, nên chọn
A. Thước có GHĐ 1m và ĐCNN 1cm.
B. Thước có GHĐ 1m và ĐCNN 1mm.
C. Thước có GHĐ 10cm và ĐCNN 1cm.
D. Thước có GHĐ 10cm và ĐCNN 1mm.
Câu 14: Khi đo nhiều lần một đại lượng mà thu được nhiều giá trị khác nhau, thì giá trị nào sau đây được lấy làm kết quả của phép đo?
A. Giá trị của lần đo cuối cùng.
B. Giá trị trung bình của giá trị lớn nhất và giá trị nhỏ nhất
C. Giá trị trung bình của tất cả các giá trị đo được.
D. Giá trị được lặp lại nhiều lần nhất.
Câu 15: Khi đo độ dài một vật, người ta chọn thước đo:
A. Có GHĐ lớn hơn chiều dài cần đo và có ĐCNN thích hợp.
B. Có GHĐ lớn hơn chiều dài cần đo và không cần để ý đến ĐCNN của thước.
C. Thước đo nào cũng được.
D. Có GHĐ nhỏ hơn chiều dài cần đo vì có thể đo nhiều lần.
Đáp án
| 1.C | 2.B | 3.B | 4.C | 5.C | 6.B | 7.B | 8.D |
| 9.C | 10.A | 11.C | 12.B | 13.D | 14.C | 15.A |
III. Bài tập Đo độ dài Vật lý lớp 6:
- Giải bài tập trang 9, 10, 11 SGK Lý lớp 6: Đo độ dài (Tiếp theo)
- Giải bài tập SBT Vật lý lớp 6 bài 2: Đo độ dài (Tiếp theo)
Trên đây VnDoc tổng hợp các kiến thức Lý thuyết Vật lý lớp 6 bài 2: Đo độ dài, các em học sinh tham khảo các bài giải SGK môn Toán lớp 6, Môn Ngữ văn 6, Môn Vật lý 6, môn Sinh Học 6, Lịch sử 6, Địa lý 6....và các đề thi học kì 1 lớp 6 để chuẩn bị cho các bài thi đề thi học kì 1 đạt kết quả cao.