Rút gọn phân thức
Chuyên đề: Rút gọn phân thức
Chuyên đề Toán học lớp 8: Rút gọn phân thức tổng hợp lý thuyết và bài tập kèm theo giúp các bạn học sinh nắm chắc kiến thức, vận dụng tốt giải bài tập Toán lớp 8. Sau đây là tài liệu mời các bạn tham khảo.
A. Giải bài tập Toán 8 Rút gọn phân thức
B. Lý thuyết Toán 8 bài 3 Rút gọn phân thức
1. Quy tắc rút gọn một phân thức
Một rút gọn một phân thức đại số ta cần phải:
+ Đặt điều kiện xác định cho mẫu thức.
+ Phân tích tử và mẫu thành nhân tử (nếu cần) để tìm nhân tử chung
+ Chia cả tử và mẫu cho nhân tử chung giống nhau
Chú ý:
+ Có khi cần đổi dấu tử hoặc mẫu thức để xuất hiện nhân tử chung.
+ Cần chú ý tính chất A = - ( - A ).
2. Ví dụ minh họa
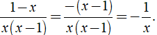
Ví dụ 1: Rút gọn phân thức
.
Hướng dẫn:
Điều kiện xác định x ≠ 0; x ≠ 1.
Ta có: 
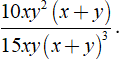
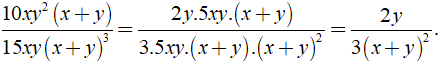
Ví dụ 2: Rút gọn phân thức
Hướng dẫn:
Điều kiện xác định xy ≠ 0; x + y ≠ 0.
Ta có:

C. Trắc nghiệm & Tự luận
I. Bài tập trắc nghiệm
Bài 1: Kết quả của rút gọn biểu thức (6x2y2)/(8xy5) là?
A. 6/8 B. (3x)/(4y3) C. 2xy2 D. (x2y2)/(xy5)
Điều kiện xác định là x ≠ 0;y ≠ 0.
Ta có (6x2y2)/(8xy5) = (2.3.xy2.x)/(2.4.xy2.y3) = (3x)/(4y3).
Chọn đáp án B.
Bài 2: Kết quả của rút gọn biểu thức (x2 - 16)/(4x - x2) (x ≠ 0, x ≠ 4) là?
A. (x - 4)/x.
B. (x + 4)/(x - 4).
C. (x + 4)/( - x)
D. (4 - x)/( - x).
Điều kiện xác định là

Chọn đáp án C.
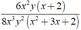
Bài 3: Rút gọn biểu thức
là

Điều kiện xác định x,y ≠ 0; x2 + 3x + 2 ≠ 0

Chọn đáp án B.
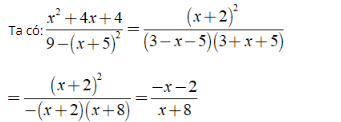
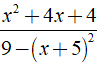
Bài 4: Rút gọn phân thức
được kết quả là?
A. (- x - 2)/(x + 8)
B. (x + 2)/(x - 8)
C. (x + 2)/(x + 8)
D. (- x - 2)/(x - 8)
Điều kiện xác định: 9 - ( x + 5 )2 ≠ 0.

Chọn đáp án A.
Bài 5: Cho kết quả sai trong các phương án sau đây?

Chọn đáp án D.
II. Bài tập tự luận
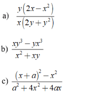
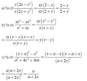
Bài 1: Rút gọn các biểu thức sau

Hướng dẫn:

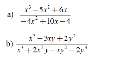
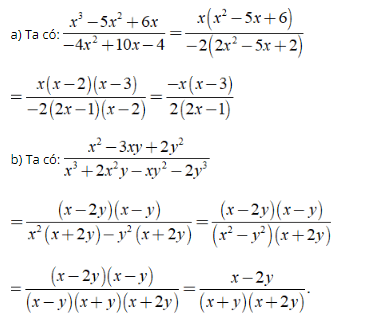
Bài 2: Rút gọn phân thức sau:

Hướng dẫn:

-----------------------
Như vậy VnDoc đã chia sẻ tới các bạn bài Rút gọn phân số. Hy vọng thông qua tài liệu này, các em học sinh sẽ nắm được kiến thức cơ bản về Rút gọn phân thức và các dạng bài tập thường gặp. Chúc các bạn học tốt và các bạn nhớ thường xuyên tương tác với VnDoc.com để nhận thêm nhiều tài liệu hay bổ ích nhé.
Ngoài Rút gọn phân thức, mời các bạn học sinh còn có thể tham khảo các đề thi học kì 1 lớp 8, đề thi học kì 2 lớp 8 các môn Toán, Văn, Anh, Lý, Địa, Sinh...Chuyên đề Toán học 8, Giải bài tập Toán lớp 8, Giải VBT Toán lớp 8 mà chúng tôi đã sưu tầm và chọn lọc. Với đề thi học kì lớp 8 này giúp các bạn rèn luyện thêm kỹ năng giải đề và làm bài tốt hơn. Chúc các bạn ôn thi tốt.
Ngoài ra, VnDoc.com đã thành lập group chia sẻ tài liệu học tập THCS miễn phí trên Facebook: Tài liệu học tập lớp 8. Mời các bạn học sinh tham gia nhóm, để có thể nhận được những tài liệu mới nhất.