Sự cân bằng của một điện tích
Chuyên đề Vật lý lớp 11: Sự cân bằng của một điện tích được VnDoc sưu tầm và giới thiệu tới các bạn học sinh cùng quý thầy cô tham khảo. Nội dung tài liệu sẽ giúp các bạn học sinh học tốt môn Vật lý lớp 11 hiệu quả hơn. Mời các bạn tham khảo.
Chuyên đề: Sự cân bằng của một điện tích
A. Phương pháp & Ví dụ bài sự cân bằng của một điện tích
- Khi một điện tích q đứng yên thì hợp lực tác dụng lên q sẽ bằng 0: 
- Dạng này có 2 loại:
+ Loại bài chỉ có lực điện.
+ Loại bài có thêm các lực cơ học (Trọng lực: P = mg (luôn hướng xuống), Lực căng dây T, Lực đàn hồi của lò xo: F = k.Δℓ = k(ℓ - ℓo)).
Ví dụ 1: Hai điện tích điểm q1 = 10-8 C, q2 = 4.10-8 C đặt tại A và B cách nhau 9 cm trong chân không.
a) Xác định độ lớn lực tương tác giữa hai điện tích?
b) Xác định vecto lực tác dụng lên điện tích q0 = 3.10-6 C đặt tại trung điểm AB.
c) Phải đặt điện tích q3 = 2.10-6 C tại đâu để điện tích q3 nằm cân bằng?
Hướng dẫn:
a) Độ lớn lực tương tác giữa hai điện tích:

b) Gọi F→10, F→20 lần lượt là lực do q1, q2 tác dụng lên q0
+ Ta có:

+ Lực tổng hợp F→ có điểm đặt tại M, có chiều từ B đến A, có độ lớn 8,1.10-4 (N)
c) Gọi F→13, F→23 lần lượt là lực do q1, q2 tác dụng lên q3
+ Gọi C là vị trí đặt điện tích q3.
+ Điều kiện cân bằng của q3: F→13 + F→23 = 0 ⇒ F→13 = -F→23 ⇒ điểm C phải thuộc AB
+ Vì q1 và q2 cùng dấu nên C phải nằm trong AB

+ Ta lại có: CA + CB = 9 (2)
Từ (1) và (2) ⇒ CA = 3 cm và CB = 6 cm.
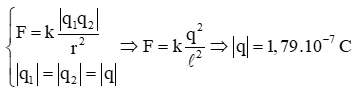
Ví dụ 2: Hai điện tích điểm q1 = q2 = q, đặt tại A và B trong không khí. Phải đặt điện tích q3 tại đâu để q3 nằm cân bằng?
Hướng dẫn:
+ Gọi F→13, F→23 lần lượt là lực do q1, q2 tác dụng lên q3
+ Gọi C là vị trí đặt điện tích q3.
+ Điều kiện cân bằng của q3: F→13 + F→23 = 0 ⇒ F→13 = -F→23 ⇒ điểm C phải thuộc AB
+ Vì q1 và q2 cùng dấu (giả sử q1 = q2 > 0) khí đó điện tích của q3 có thể dương hoặc âm nhưng vị trí đặt điện tích q3 phải nằm trong AB.
Trường hợp 1: q1 = q2 > 0; q3 > 0
+ Ta có:

Trường hợp 2: q1 = q2 > 0; q3 < 0
+ Ta có:

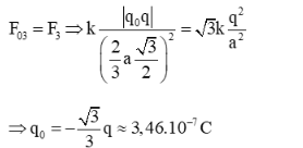
Ví dụ 3: Tại ba đỉnh của một tam giác đều trong không khí, đặt 3 điện tích giống nhau q1 = q2 = q3 = q = 6.10-7C. Hỏi phải đặt điện tích q0 tại đâu, có giá trị bao nhiêu để hệ điện tích cân bằng?
Hướng dẫn:

- Trong đó F3 có phương là đường phân giác góc C, lại có F→03 ↑ ↓ F→3 nên q0 nằm trên phân giác góc C.
- Tương tự, q0 cũng thuộc phân giác các góc A và B. Vậy q0 tại trọng tâm G của ABC.
- Vì F→03 ↑ ↓ F→3 nên F→03 hướng về phía G, hay là lực hút nên q0 < 0.
- Độ lớn:

Ví dụ 4: Hai điện tích q1 = 2.10-8C và q2 = -8.10-8C đặt tại A và B trong không khí. AB = 8cm. Một điện tích q3 đặt tại C.
a. C ở đâu để q3 cân bằng.
b. Dấu và độ lớn của q3 để q1 và q2 cũng cân bằng (hệ điện tích cân bằng).
Hướng dẫn:
a. + Gọi F→13, F→23 lần lượt là lực do q1, q2 tác dụng lên q3
- Để q3 cân bằng: F→3 = F→13 + F→23 = 0 ⇒ F→13 = -F→23 ⇒ điểm C phải thuộc AB
+ Vì q1 > 0 và q2 < 0 nên C nằm ngoài AB và gần phía A.
+ Độ lớn:
b. Hệ cân bằng
+ Gọi F→21, F→31 lần lượt là lực do q2, q3 tác dụng lên q1
- Để q1 cân bằng: F→1 = F→21 + F→31 = 0 ⇒ F→21 = -F→31 ⇒ F→21 ↑ ↓ F→31 (3)
+ Vì q1 > 0 và q2 < 0 nên F→21 ↑ ↑ AB→ (4)
+ Ta lại có: AC→ ↑ ↓ AB→ (5)
Từ (3), (4) và (5) ta ⇒ F→31 ↑ ↑ AC→ ⇒ q1q3 < 0 ⇒ q3 < 0
+ Độ lớn:
Chú ý: Nếu hệ gồm n điện tích có (n - 1) điện tích cân bằng thì hệ đó cân bằng.
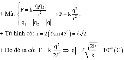
Ví dụ 5: Hai quả cầu nhỏ giống nhau bằng kim loại có khối lượng m = 5 g, được treo vào cùng một điểm O bằng hai sợi dây không dãn, dài 10 cm. Hải quả cầu tiếp xúc với nhau. Tích điện cho mỗi quả cầu thì thấy chúng đẩy nhau cho đến khi hai dây treo hợp với nhau một góc 60°. Tính độ lớn điện tích mà ta đã truyền cho quả cầu. Lấy g = 10 (m/s2).
Hướng dẫn:

(1)
Các lực tác dụng lên quả cầu gồm: trọng lực P→, lực căng dây T→, lực tương tác tĩnh điện (lực tĩnh điện) F→ giữa hai quả cầu.
+ Khi quả cầu cân bằng ta có: T→ + P→ + F→ = 0 ⇔ T→ + R→ = 0
⇒ R→ cùng phương, ngược chiều với T→ ⇒ α = 30°
Ta có: tan30° = F/P
⇒ F = Ptan30° = mgtan30° = 0,029N
+ Mà:
+ Vậy tổng độ lớn điện tích đã truyền cho hai quả cầu là: Q = 2|q| = 3,58.10-7 C
B. Bài tập sự cân bằng của một điện tích
Bài 1: Hai điện tích q1 = –2.10-8C, q2 = 1,8.10-7C đặt trong không khí tại A và B, AB = ℓ = 8cm. Một điện tích q3 đặt tại C. Hỏi:
a) C ở đâu để q3 nằm cân bằng?
b) Dấu và độ lớn của q3 để q1, q2 cũng cân bằng.
a) Vị trí của C để q3 nằm cân bằng
– Các lực điện tác dụng lên q3: F→13, F→23.
– Để q3 nằm cân bằng thì: F→13 + F→23 = 0 ⇒ F→13 = - F→23 ⇒ F→13, F→23 cùng phương, ngược chiều và cùng độ lớn:
.
Từ đó:
+ C nằm trên đường thẳng AB, ngoài đoạn AB, về phía A.
+ BC = 3AC = 3(BC – AB)

Vì q1 < 0; q2 > 0 ⇒ q3 & 0: q3 = 0,45.10-7 C.
Vậy: Để q1 và q2 cũng cân bằng thì q3 = +0,45.10-7 C.

Bài 2: Có hai điện tích q1 = q và q2= 4q đặt cố định trong không khí cách nhau một khoảng a = 30 cm. Phải đặt một điện tích q0 như thế nào và ở đâu để nó cân bằng?
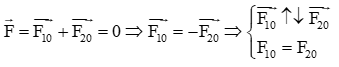
+ Gọi F→10, F→20 lần lượt là lực do q1, q2 tác dụng lên q0
+ Gọi C là vị trí đặt điện tích q0.
+ Điều kiện cân bằng của q0: F→10 + F→20 = 0 ⇒ F→10 = - F→20 ⇒ điểm C phải thuộc AB
+ Vì q1 và q2 cùng dấu (giả sử cả q1 < 0; q2 < 0) nên C phải nằm trong AB.
+ Dấu của q0 là tùy ý.
+ Lại có:

+ Từ hình ta có: CA + CB = 30 ⇒ CA = 10 cm và CB = 20 cm
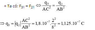
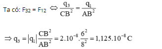
Bài 3: Hai điện tích q1 = -2.10-8 C, q2 = -1,8.10-7 C đặt tại A và B trong không khí, AB = 8cm. Một điện tích q3 đặt tại C. Hỏi:
a) C ở đâu để q3 cân bằng?
b) Dấu và độ lớn của q3 để q1, q2 cũng cân bằng?
a) Gọi F→13, F→23 lần lượt là lực do q1, q2 tác dụng lên q3
+ Gọi C là vị trí đặt điện tích q3.
+ Điều kiện cân bằng của q3: F→13 + F→23 = 0 ⇒ F→13 = - F→23 ⇒ điểm C phải thuộc AB
+ Vì q1 và q2 cùng dấu nên từ ta suy ra C phải nằm trong AB
+ Dấu của q3 là tùy ý.
+ Lại có:

b) Gọi F→31, F→21 lần lượt là lực do q3, q2 tác dụng lên q1
+ Điều kiện cân bằng của q1: F→31 + F→21 = 0 ⇒ F→31 = - F→21 ⇒ F→31 ngược chiều F→21
Suy ra F31 là lực hút ⇒ q3 > 0

+ Điều kiện cân bằng của q2: F→32 + F→12 = 0 ⇒ F→32 = - F→12 ⇒ F→32 ngược chiều F→12
Suy ra F32 là lực hút ⇒ q3 > 0

+ Vậy với q3 = 1,125.10-8 C thì hệ thống cân bằng
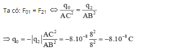
Bài 4: Hai điện tích q1 = 2.10-8 C, q2 = -8.10-8 C đặt tại A và B trong không khí, AB = 8cm. Một điện tích q0 đặt tại C. Hỏi:
a) C ở đâu để q0 cân bằng?
b) Dấu và độ lớn của q0 để q1, q2 cũng cân bằng?
a) Gọi F→10, F→20 lần lượt là lực do q1, q2 tác dụng lên q0
+ Điều kiện cân bằng của q0: F→10 + F→20 = 0 ⇒ F→10 = - F→20 ⇒ điểm C phải thuộc AB
+ Vì q1 và q2 trái dấu nên từ ta suy ra C phải nằm ngoài AB
+ Dấu của q0 là tùy ý.
+ Lại có:

b) Gọi F→01, F→21 lần lượt là lực do q0, q2 tác dụng lên q1
+ Điều kiện cân bằng của q1: F→01 + F→21 = 0 ⇒ F→01 = - F→21 ⇒ F→01 ngược chiều F→21
Suy ra F01 là lực hút ⇒ q0 < 0

+ Điều kiện cân bằng của q2: F→02 + F→12 = 0 ⇒ F→02 = - F→12 ⇒ F→02 ngược chiều F→12
Suy ra F02 là lực đẩy ⇒ q0 < 0

+ Vậy với q0 = -8.10-8 C thì hệ thống cân bằng
Bài 5: Người ta treo 2 quả cầu nhỏ có khối lượng bằng nhau m = 0,01 g bằng những sợi dây có chiều dài bằng nhau ℓ = 50 cm (khối lượng không đáng kể). Khi hai quả cầu nhiễm điện bằng nhau về độ lớn và cùng dấu, chúng đẩy nhau và cách nhau r = 6 cm. Lấy g = 9,8 m/s2.
a) Tính điện tích của mỗi quả cầu
b) Nhúng cả hệ thống vào trong rượu etylic có ε = 27. Tính khoảng cách giữa hai quả cầu. Bỏ qua lực đẩy Acsimet.

Các lực tác dụng lên mỗi quả cầu gồm: trọng lực P→, lực tương tác tĩnh điện F→ và lực căng của dây treo T→.
+ Khi quả cầu cân bằng thì:

Bài 6: Hai quả cầu nhỏ giống nhau bằng kim loại có khối lượng m = 5 g, được treo vào cùng một điểm O bằng 2 sợi dây không dãn, dài 30 cm. Cho hai quả cầu tiếp xúc với nhau rồi tích điện cho mỗi quả cầu thì thấy chúng đẩy nhau cho đến khi 2 dây treo hợp với nhau 1 góc 90°. Tính điện tích mà ta đã truyền cho quả cầu. Lấy g = 10 (m/s2).

Các lực tác dụng lên quả cầu gồm: trọng lực P→, lực căng dây T→, lực tương tác tĩnh điện (lực tĩnh điện) F→ giữa hai quả cầu.
+ Khi quả cầu cân bằng ta có: T→ + P→ + F→ = 0 ⇔ T→ + R→ = 0 ⇒ R→ cùng phương, ngược chiều với T→ ⇒ α = 45°
Ta có: tan45° = F/P ⇒ F = P = mg = 0,05N

+ Vậy tổng độ lớn điện tích đã truyền cho hai quả cầu là: Q = 2|q| = 2.10-6 C
Trên đây VnDoc đã giới thiệu tới các bạn lý thuyết Vật lý 11: Sự cân bằng của một điện tích. Để có kết quả cao hơn trong học tập, VnDoc xin giới thiệu tới các bạn học sinh tài liệu Chuyên đề Vật lý 11, Giải Vở BT Vật Lý 11, Giải bài tập Vật Lí 11, Tài liệu học tập lớp 11 mà VnDoc tổng hợp và giới thiệu tới các bạn đọc



