Vở bài tập Toán lớp 4 Bài 59: Luyện tập chung Kết nối tri thức
Vở bài tập Toán lớp 4 Kết nối tri thức Bài 59: Luyện tập chung là lời giải chi tiết cho Bài 59 của quyển Toán 4 (Tập 2) sách Kết nối tri thức với cuộc sống, được biên soạn nhằm giúp các em học sinh học tập tốt môn Toán lớp 4. Đồng thời cũng là tài liệu để các bậc phụ huynh tham khảo và hướng dẫn con em mình trình bày bài giải cho phù hợp.
Tiết 1
Vở bài tập Toán lớp 4 Tập 2 trang 71 Bài 1
Số?
![]()
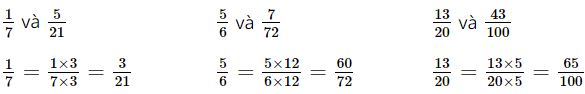
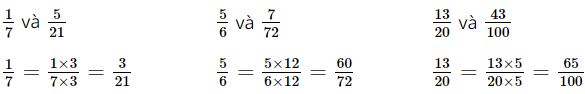
b) Rút gọn các phân số.
![]()
Lời giải
![]()
b) Rút gọn các phân số.
![]()
Vở bài tập Toán lớp 4 Tập 2 trang 71 Bài 2
Khoanh vào chữ đặt trước câu trả lời đúng.
a) Đã tô màu
\(\frac{4}{9}\) hình nào dưới đây?

b) Đã tô màu
\(\frac{3}{10}\) số ngôi sao của hình nào dưới đây?

c) Phân số
\(\frac{4}{7}\) bằng phân số nào dưới đây?
A.
\(\frac{6}{14}\) B.
\(\frac{12}{27}\) C.
\(\frac{16}{28}\) D.
\(\frac{45}{72}\)
Lời giải
a) Đáp án đúng là: B
Tô màu
\(\frac{4}{9}\) hình: phần tô màu là 4 phần
Vậy hình có phần tô màu là
\(\frac{4}{9}\) hình là: 
b) Đáp án đúng là: A
Đã tô màu
\(\frac{3}{10}\) số ngôi sao của hình: phần tô màu là 3 phần.
Vậy hình có phần tô màu
\(\frac{3}{10}\) số ngôi sao là: 
c) Ta có:
\(\frac{4}{7} =\frac{4\times 4}{7\times 4} =\frac{16}{28}\)
Đáp án đúng là: C
Vở bài tập Toán lớp 4 Tập 2 trang 72 Bài 3
Tính.
![]()
Lời giải
![]()
Vở bài tập Toán lớp 4 Tập 2 trang 72 Bài 4
Viết phân số thích hợp vào chỗ chấm.
Từ hai số 13 và 9 lập được:
a) Phân số bé hơn 1 là …………. b) Phân số lớn hơn 1 là ……………
c) Các phân số bằng 1 là ………….
Lời giải
a) Phân số bé hơn 1 là
\(\frac{9}{13}\)
b) Phân số lớn hơn 1 là
\(\frac{13}{9}\)
c) Các phân số bằng 1 là
\(\frac{13}{13}\);
\(\frac{9}{9}\)
Vở bài tập Toán lớp 4 Tập 2 trang 72 Bài 5
Khoanh vào chữ đặt trước câu trả lời đúng.
Phân số
\(\frac{64}{96}\) không bằng phân số nào dưới đây?
![]()
Lời giải
Đáp án đúng là: C

Vậy phân số
\(\frac{64}{96}\) không bằng phân số
\(\frac{3}{4}\).
Tiết 2
Vở bài tập Toán lớp 4 Tập 2 trang 72 Bài 1
a) Quy đồng mẫu số các phân số.
|
…………………….. |
…………………… |
………………….. |
b) Rút gọn rồi quy đồng mẫu số các phân số.
|
…………………………………… …………………………………… |
…………………………………. ………………………………… |
Lời giải
a) Quy đồng mẫu số các phân số.

b) Rút gọn rồi quy đồng mẫu số các phân số.

Vở bài tập Toán lớp 4 Tập 2 trang 72 Bài 2
Quy đồng mẫu số các phân số.
a)
\(\frac{1}{6}\);
\(\frac{17}{18}\) và
\(\frac{11}{54}\)
…………………………………………………………………………………………
…………………………………………………………………………………………
b)
\(\frac{3}{4}\);
\(\frac{5}{6}\);
\(\frac{7}{9}\) và
\(\frac{17}{36}\)
…………………………………………………………………………………………
…………………………………………………………………………………………
Lời giải

Vở bài tập Toán lớp 4 Tập 2 trang 73 Bài 3
Viết phân số thích hợp vào chỗ chấm (theo mẫu).
a) ![]()
AB =
\(\frac{3}{4}\)AC BC = ……. AC
b) ![]()
MN = ….. MP; NP = ….. MP
Lời giải
a) ![]()
AB =
\(\frac{3}{4}\)AC BC =
\(\frac{1}{4}\) AC
b) ![]()
MN =
\(\frac{3}{5}\) MP; NP =
\(\frac{2}{5}\) MP
Vở bài tập Toán lớp 4 Tập 2 trang 73 Bài 4
Viết 3;
\(\frac{7}{8}\);
\(\frac{5}{6}\) thành ba phân số đều có mẫu số là 24.
………………………………………………………………………………………..
Lời giải

Vở bài tập Toán lớp 4 Tập 2 trang 73 Bài 5
Đố em!
Làm thế nào lấy được đoạn dây dài
\(\frac{1}{6}\)m từ đoạn dây dài
\(\frac{2}{3}\)m?
Lời giải
Ta gập đôi đoạn dây sao cho hai đầu dây trùng với nhau.
Tiếp tục gập đôi đoạn dây một lần nữa. Lúc này sợi dây ban đầu được chia thành 4 đoạn dài bằng nhau.
Cắt 1 đoạn dây vừa gập ta được đoạn dây dài
\(\frac{1}{6}\)m.
Tiết 3
Vở bài tập Toán lớp 4 Tập 2 trang 73 Bài 1
>; <; = ?

Lời giải

Vở bài tập Toán lớp 4 Tập 2 trang 74 Bài 2
Đ, S ?
Mai có một số viên bi. Mai cho Nam
\(\frac{1}{2}\) số viên bi và cho Việt
\(\frac{3}{8}\) số viên bi đó. Như vậy:
a) Việt được Mai cho nhiều bi hơn Nam. …..
b) Nam được Mai cho nhiều bi hơn Việt. …..
Phương pháp giải:
So sánh hai phân số
\(\frac{1}{2}\) và
\(\frac{3}{8}\) để trả lời câu hỏi.
Lời giải
Ta có:
\(\frac{1}{2} =\frac{1\times 4}{2\times 4} =\frac{4}{8} >\frac{3}{8}\)
Vậy:
a) Việt được Mai cho nhiều bi hơn Nam S
b) Nam được Mai cho nhiều bi hơn Việt. Đ
Vở bài tập Toán lớp 4 Tập 2 trang 74 Bài 3
Khoanh vào chữ đặt trước câu trả lời đúng.
Có một cái bánh pi-da, Nam ăn
\(\frac{1}{2}\) cái bánh, Mai ăn
\(\frac{1}{5}\) cái bánh, Việt ăn
\(\frac{3}{10}\) cái bánh. Bạn ăn nhiều bánh nhất là:
A. Nam B. Mai C. Việt
Lời giải
Đáp án đúng là: A
\(\frac{1}{2} =\frac{1\times 5}{2\times 5}=\frac{5}{10}\)
\(\frac{1}{5} =\frac{1\times 2}{5\times 2} =\frac{2}{10}\)
Ta có:
\(\frac{2}{10}\) <
\(\frac{3}{10}\) <
\(\frac{5}{10}\) nên
\(\frac{1}{5}\) <
\(\frac{3}{10}\) <
\(\frac{1}{2}\)
Vậy bạn Nam ăn nhiều bánh nhất.
Vở bài tập Toán lớp 4 Tập 2 trang 74 Bài 4
Viết tiếp vào chỗ chấm cho thích hợp.

a) Các phân số ở ngoài hàng rào viết theo thứ tự từ bé đến lớn là: .............................
b) Các phân số ở trong hàng rào viết theo thứ tự từ lớn đến bé là: ............................
Lời giải
a) Các phân số ở ngoài hàng rào viết theo thứ tự từ bé đến lớn là:
\(\frac{5}{19}\);
\(\frac{8}{19}\);
\(\frac{12}{19}\);
\(\frac{13}{19}\)
b) Các phân số ở trong hàng rào viết theo thứ tự từ lớn đến bé là
\(\frac{23}{28}\);
\(\frac{45}{56}\);
\(\frac{9}{14}\);
\(\frac{4}{7}\)
Vở bài tập Toán lớp 4 Tập 2 trang 74 Bài 5
Đố em!
Quả thanh long cân nặng
\(\frac{9}{11}\) kg, quả bười cân nặng
\(\frac{7}{6}\) kg. Hỏi quả nào nặng hơn?
Viết tiếp vào chỗ chấm cho thích hợp.
Quả ………………nặng hơn.
Lời giải
Ta có:
\(\frac{9}{11}\) < 1;
\(\frac{7}{6}\) > 1 nên
\(\frac{7}{6}\) >
\(\frac{7}{6}\)
Vậy quả bưởi nặng hơn.
Ngoài ra, các bạn có thể xem thêm:
- Giải Toán lớp 4 Kết nối tri thức
- Trắc nghiệm Toán lớp 4 Kết nối tri thức
- Bài tập cuối tuần toán lớp 4 Kết nối tri thức