Vở bài tập Toán lớp 4 Bài 60: Phép cộng phân số Kết nối tri thức
Vở bài tập Toán lớp 4 Kết nối tri thức Bài 60: Phép cộng phân số là lời giải chi tiết cho Bài 60 của quyển Toán 4 (Tập 2) sách Kết nối tri thức với cuộc sống, được biên soạn nhằm giúp các em học sinh học tập tốt môn Toán lớp 4. Đồng thời cũng là tài liệu để các bậc phụ huynh tham khảo và hướng dẫn con em mình trình bày bài giải cho phù hợp.
Tiết 1
Vở bài tập Toán lớp 4 Tập 2 trang 75 Bài 1
Tính.

Lời giải

Vở bài tập Toán lớp 4 Tập 2 trang 75 Bài 2
Viết phép tính thích hợp để tính tổng số lít nước ở hai bình.

Lời giải

Vở bài tập Toán lớp 4 Tập 2 trang 75 Bài 3
Số?

Lời giải

Vở bài tập Toán lớp 4 Tập 2 trang 75 Bài 4
Một hôm, chú Đạt đi cày thửa ruộng của mình. Buổi sáng, chú cày được
\(\frac{3}{11}\) thửa ruộng. Buổi chiều, chú cày thêm được
\(\frac{4}{11}\) thửa ruộng. Hỏi trong ngày hôm đó, chú Đạt đã cày được tất cả bao nhiêu phần thửa ruộng của mình?
Bài giải
……………………………………………………………………………………………
……………………………………………………………………………………………
……………………………………………………………………………………………
Lời giải
Trong ngày hôm đó, chú Đạt đã cày được tất cả số phần thửa của mìnhlà:
\(\frac{3}{11} +\frac{4}{11} =\frac{7}{11}\) (thửa ruộng)
Đáp số:
\(\frac{7}{11}\) thửa ruộng
Vở bài tập Toán lớp 4 Tập 2 trang 76 Bài 5
Bạn Việt nói rằng: “Để cộng hai phân số có cùng mẫu số, ta cộng hai tử số với nhau và cộng hai mẫu số với nhau.”. Hỏi Việt nói đúng hay sai? Nếu sai, em hãy sửa lại cho đúng.
Bài giải
……………………………………………………………………………………………
……………………………………………………………………………………………
……………………………………………………………………………………………
Lời giải
Bạn Việt nói sai.
Sửa lại: Muốn cộng hai phân số cùng mẫu số, ta cộng hai tử số với nhau và giữ nguyên mẫu số.
Tiết 2
Vở bài tập Toán lớp 4 Tập 2 trang 76 Bài 1
Đ, S?

Lời giải

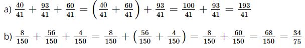
Vở bài tập Toán lớp 4 Tập 2 trang 76 Bài 2
Tính rồi viết dấu >, <, hoặc = thích hợp vào ô trống.
![]()
Lời giải
![]()
Vở bài tập Toán lớp 4 Tập 2 trang 76 Bài 3
Tính.

Lời giải

Vở bài tập Toán lớp 4 Tập 2 trang 77 Bài 4
Có ba vòi nước cùng chảy vào một bể. Trong 1 giờ, vòi thứ nhất chảy được
\(\frac{2}{10}\) bể, vòi thứ hai chảy được
\(\frac{1}{10}\) bể, vòi thứ ba chảy được
\(\frac{4}{10}\) bể. Hỏi trong 1 giờ, cả ba vòi chảy được bao nhiêu phần của bể nước?
Lời giải
Trong 1 giờ, cả ba vòi chảy được số phần của bể nước là:
\(\frac{2}{10} +\frac{1}{10}+\frac{4}{10}=\frac{7}{10}\) (bể)
Đáp số:
\(\frac{7}{10}\) bể nước
Vở bài tập Toán lớp 4 Tập 2 trang 77 Bài 5
Viết phân số thích hợp vào ô trống.

Lời giải

Tiết 3
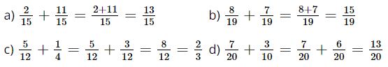
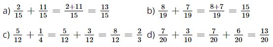
Vở bài tập Toán lớp 4 Tập 2 trang 77 Bài 1
Tính.

Lời giải

Vở bài tập Toán lớp 4 Tập 2 trang 77 Bài 2
Rút gọn rồi tính.

Lời giải

Vở bài tập Toán lớp 4 Tập 2 trang 78 Bài 3
Nam và Việt cùng ăn một cái bánh. Nam đã ăn
\(\frac{1}{4}\) cái bánh, Việt đã ăn
\(\frac{1}{2}\) cái bánh. Hỏi hai bạn đã ăn tất cả bao nhiêu phần của cái bánh?
Bài giải
……………………………………………………………………………………………
……………………………………………………………………………………………
……………………………………………………………………………………………
Lời giải
Hai bạn đã ăn tất cả số phần của cái bánh là:
\(\frac{1}{4} +\frac{1}{2} =\frac{3}{4}\) (cái)
Đáp số:
\(\frac{3}{4}\) cái bánh
Vở bài tập Toán lớp 4 Tập 2 trang 78 Bài 4
Viết phân số thích hợp vào ô trống.

Lời giải

Tiết 4
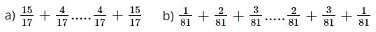
Vở bài tập Toán lớp 4 Tập 2 trang 78 Bài 1
Tính.

Lời giải

Vở bài tập Toán lớp 4 Tập 2 trang 78 Bài 2
>; <; = ?

Lời giải

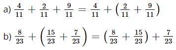
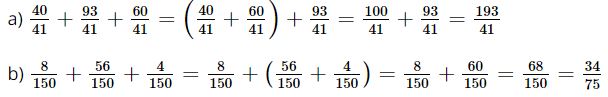
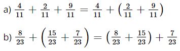
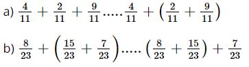
Vở bài tập Toán lớp 4 Tập 2 trang 79 Bài 3
Tính bằng cách thuận tiện.

Lời giải

Vở bài tập Toán lớp 4 Tập 2 trang 79 Bài 4
Mai cần
\(\frac{1}{2}\) giờ để quét xong nhà. Bạn ấy cần thêm
\(\frac{1}{6}\) giờ để lau xong nhà. Hỏi Mai cần tất cả bao nhiêu thời gian để quét xong nhà và lau xong nhà?
Bài giải
……………………………………………………………………………………………
……………………………………………………………………………………………
……………………………………………………………………………………………
Lời giải
Thời gian để Mai quét xong nhà và lau xong nhà là:
\(\frac{1}{2} +\frac{1}{6}=\frac{2}{3}\) (giờ)
Đáp số:
\(\frac{2}{3}\) giờ
Vở bài tập Toán lớp 4 Tập 2 trang 79 Bài 5
Ngày Chủ nhật, Nam đọc một cuốn sách. Buổi sáng, Nam đọc được
\(\frac{1}{2}\) cuốn sách. Buổi chiều, Nam đọc thêm được
\(\frac{1}{3}\) cuốn sách. Đến buổi tối, Nam đọc thêm được
\(\frac{1}{12}\) cuốn sách. Hỏi trong ngày Chủ nhật, Nam đã đọc được tất cả mấy phần của cuốn sách?
Bài giải
……………………………………………………………………………………………
……………………………………………………………………………………………
……………………………………………………………………………………………
Lời giải
Trong ngày chủ nhật, Nam đã đọc được tất cả số phần của cuốn sách là:
\(\frac{1}{2} +\frac{1}{3} +\frac{1}{12} =\frac{11}{12}\) (cuốn)
Đáp số:
\(\frac{11}{12}\) cuốn sách
Ngoài ra, các bạn có thể xem thêm:
- Giải Toán lớp 4 Kết nối tri thức
- Trắc nghiệm Toán lớp 4 Kết nối tri thức
- Bài tập cuối tuần toán lớp 4 Kết nối tri thức