Vở bài tập Toán lớp 4 Bài 61: Phép trừ phân số Kết nối tri thức
Vở bài tập Toán lớp 4 Kết nối tri thức Bài 61: Phép trừ phân số là lời giải chi tiết cho Bài 61 của quyển Toán 4 (Tập 2) sách Kết nối tri thức với cuộc sống, được biên soạn nhằm giúp các em học sinh học tập tốt môn Toán lớp 4. Đồng thời cũng là tài liệu để các bậc phụ huynh tham khảo và hướng dẫn con em mình trình bày bài giải cho phù hợp.
Tiết 1
Vở bài tập Toán lớp 4 Tập 2 trang 80 Bài 1
Tính.

Lời giải

Vở bài tập Toán lớp 4 Tập 2 trang 80 Bài 2
Viết phép tính thích hợp với mỗi hình (theo mẫu).

Lời giải

Vở bài tập Toán lớp 4 Tập 2 trang 80 Bài 3
Đ, S?

Lời giải

Tiết 2
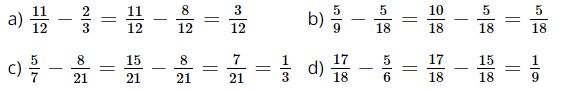
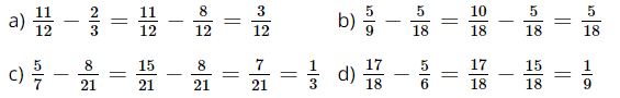
Vở bài tập Toán lớp 4 Tập 2 trang 81 Bài 1
Tính.

Lời giải

Vở bài tập Toán lớp 4 Tập 2 trang 81 Bài 2
Số?

Lời giải

Vở bài tập Toán lớp 4 Tập 2 trang 81 Bài 3
Để được một mẻ bánh ngon, Mai cần nướng bánh trong
\(\frac{3}{2}\) giờ. Biết rằng Mai đã nướng mẻ bánh được
\(\frac{1}{4}\) giờ. Hỏi Mai cần nướng thêm bao nhiêu giờ nữa để được một mẻ bánh ngon?
Bài giải
……………………………………………………………………………………………
……………………………………………………………………………………………
……………………………………………………………………………………………
Lời giải
Mai cần nướng thêm số giờ nữa để được một mẻ bánh ngon là:
\(\frac{3}{2} -\frac{1}{4}=\frac{5}{4}\) (giờ)
Đáp số:
\(\frac{5}{4}\) giờ
Vở bài tập Toán lớp 4 Tập 2 trang 81 Bài 4
Viết phân số thích hợp vào ô trống.

Lời giải

Tiết 3
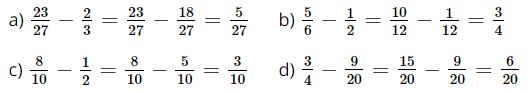
Vở bài tập Toán lớp 4 Tập 2 trang 82 Bài 1
Tính.

Lời giải

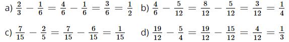
Vở bài tập Toán lớp 4 Tập 2 trang 82 Bài 2
Rút gọn rồi tính.

Lời giải

Vở bài tập Toán lớp 4 Tập 2 trang 82 Bài 3
Trong hai bình A và B, bình nào đang chứa nhiều nước hơn và nhiều hơn bao nhiêu lít nước?

Lời giải

Vở bài tập Toán lớp 4 Tập 2 trang 83 Bài 4
Nối (theo mẫu).

Lời giải

Vở bài tập Toán lớp 4 Tập 2 trang 83 Bài 5
Ca thứ nhất có
\(\frac{4}{9}\) l nước. Ca thứ hai có
\(\frac{5}{18}\) l nước. Bạn Mai rót hết nước từ hai ca đó vào một chiếc bình.
a) Tính lượng nước có trong bình.
b) Sau đó, Mai lấy
\(\frac{1}{2}\) l nước từ trong chiếc bình đó. Tính lượng nước còn lại trong bình.
Bài giải
……………………………………………………………………………………………
……………………………………………………………………………………………
……………………………………………………………………………………………
……………………………………………………………………………………………
……………………………………………………………………………………………
Lời giải
a)
Lượng nước có trong bình là:
\(\frac{4}{9} +\frac{5}{18} =\frac{13}{18}\)(lít)
b)
Lượng nước còn lại trong bình là:
\(\frac{13}{18} -\frac{1}{2}=\frac{2}{9}\) (lít)
Đáp số: a)
\(\frac{13}{18}\) lít; b)
\(\frac{2}{9}\) lít
Ngoài ra, các bạn có thể xem thêm:
- Giải Toán lớp 4 Kết nối tri thức
- Trắc nghiệm Toán lớp 4 Kết nối tri thức
- Bài tập cuối tuần toán lớp 4 Kết nối tri thức