Vở bài tập Toán lớp 4 Bài 64: Phép chia phân số Kết nối tri thức
Vở bài tập Toán lớp 4 Kết nối tri thức Bài 64: Phép chia phân số là lời giải chi tiết cho Bài 64 của quyển Toán 4 (Tập 2) sách Kết nối tri thức với cuộc sống, được biên soạn nhằm giúp các em học sinh học tập tốt môn Toán lớp 4. Đồng thời cũng là tài liệu để các bậc phụ huynh tham khảo và hướng dẫn con em mình trình bày bài giải cho phù hợp.
Tiết 1
Vở bài tập Toán lớp 4 Tập 2 trang 93 Bài 1
a) Viết phân số thích hợp vào chỗ chấm.
Phân số đảo ngược của
\(\frac{5}{4}\) là: …… Phân số đảo ngược của
\(\frac{1}{9}\) là: ……
b) Tính.

Lời giải
a) Phân số đảo ngược của
\(\frac{5}{4}\) là:
\(\frac{4}{5}\). Phân số đảo ngược của
\(\frac{1}{9}\) là:
\(\frac{9}{1}\)
b)

Vở bài tập Toán lớp 4 Tập 2 trang 93 Bài 2
Viết phân số thích hợp vào ô trống.

Lời giải

Vở bài tập Toán lớp 4 Tập 2 trang 93 Bài 3
Viết tiếp vào chỗ chấm cho thích hợp.

Bức tranh hình chữ nhật ABCD có diện tích là
\(\frac{66}{5}\) dm2 và chiều rộng
\(\frac{11}{5}\) dm.
a) Chiều dài của bức tranh là ………..dm
b) Anh Long lắp một cái móc treo ở trung điểm I của cạnh AB. Điểm I cách điểm A …….. dm.
Lời giải
a) Chiều dài của bức tranh là:
\(\frac{66}{5} : \frac{11}{5} =6\) (dm)
b) Ta có 6 : 2 = 3
Vậy anh Long móc một cái móc treo ở trung điểm I của cạnh AB. Điểm I cách điểm A 3 dm.
Vở bài tập Toán lớp 4 Tập 2 trang 94 Bài 4
Tô màu vào con cá ghi phép tính có kết quả không phải lớn nhất và không phải bé nhất.

Lời giải
Ta có:

Vậy con cá ghi phép tính có kết quả không phải lớn nhất và không phải bé nhất là con cá
\(\frac{14}{20} \times 5\)
Tiết 2
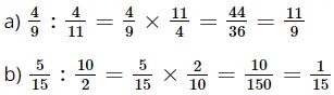
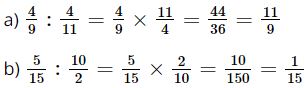
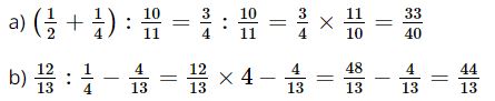
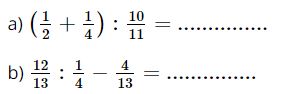
Vở bài tập Toán lớp 4 Tập 2 trang 94 Bài 1
Tính rồi rút gọn.

Lời giải

Vở bài tập Toán lớp 4 Tập 2 trang 94 Bài 2
Viết phân số thích hợp vào chỗ chấm.
|
a) |
b) |
Lời giải:
|
a) |
b) |
Vở bài tập Toán lớp 4 Tập 2 trang 94 Bài 3
Tính.

Lời giải

Vở bài tập Toán lớp 4 Tập 2 trang 95 Bài 4
Viết tiếp vào chỗ chấm cho thích hợp.
Chú Văn quấn một sợi dây đồng dài
\(\frac{135}{2}\) dm quanh một cái ống, độ dài mỗi vòng là
\(\frac{3}{4}\) dm. Vậy chú Văn quấn được ……. vòng.
Lời giải
Chú Văn quấn được số vòng là:
\(\frac{135}{2} :\frac{3}{4} =90\) (vòng)
Đáp số: 90 vòng
Vở bài tập Toán lớp 4 Tập 2 trang 95 Bài 5
Tễu thả bèo xuống chiếc ao hình vuông. Cứ sau mỗi tuần, phần diện tích bèo phủ sẽ tăng gấp đôi tuần trước đó. Biết sau tuần thứ nhất, bèo phủ
\(\frac{1}{4}\) diện tích ao (phần được tô màu trong hình vẽ).

a) Khoanh vào chữ đặt trước câu trả lời đúng.
Hình nào sau đây thể hiện phần diện tích bèo phủ chiếc ao sau tuần thứ ba?

b) Biết diện tích ao nhà Tễu là
\(\frac{81}{2}\) m2. Tính diện tích bèo phủ chiếc ao sau tuần thứ hai.
Lời giải
a)
Đáp án cần chọn là: C
Phần diện tích bèo phủ chiếc ao sau tuần thứ hai là:
\(\frac{1}{4} \times 2=\frac{1}{2}\) (diện tích ao)
Phần diện tích bèo phủ chiếc ao sau tuần thứ ba là:
\(\frac{1}{2} \times 2=1\) (diện tích ao)
b)
Diện tích bèo phủ chiếc ao sau tuần thứ hai là:
\(\frac{81}{2} \times \frac{1}{2} =\frac{81}{4}\)m2
Đáp số:
\(\frac{81}{4}\) m2
Tiết 3
Vở bài tập Toán lớp 4 Tập 2 trang 96 Bài 1
Tính rồi rút gọn.

Lời giải

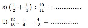
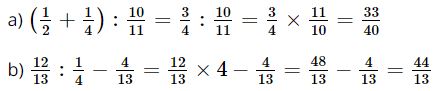
Vở bài tập Toán lớp 4 Tập 2 trang 96 Bài 2
Tính.

Lời giải:

Vở bài tập Toán lớp 4 Tập 2 trang 96 Bài 3
Vào một buổi sáng, người ta đo được độ dài cái bóng của khóm trúc là
\(\frac{19}{2}\) m. Biết độ dài cái bóng gấp đôi chiều cao của khóm trúc. Tính chiều cao của khóm trúc đó.
Lời giải
Chiều cao của khóm trúc đó là:
\(\frac{19}{2} :2=\frac{19}{4}\)m
Đáp số:
\(\frac{19}{4}\)m
Vở bài tập Toán lớp 4 Tập 2 trang 96 Bài 4
Viết phân số thích hợp vào chỗ chấm.

Tổng diện tích 4 hình chữ nhật như nhau là
\(\frac{8}{5}\)cm2, chiều rộng của mỗi hình chữ nhật là
\(\frac{1}{2}\) cm. Chiều dài của mỗi hình chữ nhật là ……. cm.
Lời giải
Diện tích của mỗi hình chữ nhật là:
\(\frac{8}{5} :4=\frac{2}{5}\)cm2
Chiều dài của mỗi hình chữ nhật là:
\(\frac{2}{5} :\frac{1}{2} =\frac{4}{5}\)cm
Vậy chiều dài của mỗi hình chữ nhật là
\(\frac{4}{5}\) cm
Ngoài ra, các bạn có thể xem thêm:
- Giải Toán lớp 4 Kết nối tri thức
- Trắc nghiệm Toán lớp 4 Kết nối tri thức
- Bài tập cuối tuần toán lớp 4 Kết nối tri thức