Vở bài tập Toán lớp 4 Bài 66: Luyện tập chung Kết nối tri thức
Vở bài tập Toán lớp 4 Kết nối tri thức Bài 66: Luyện tập chung là lời giải chi tiết cho Bài 66 của quyển Toán 4 (Tập 2) sách Kết nối tri thức với cuộc sống, được biên soạn nhằm giúp các em học sinh học tập tốt môn Toán lớp 4. Đồng thời cũng là tài liệu để các bậc phụ huynh tham khảo và hướng dẫn con em mình trình bày bài giải cho phù hợp.
Tiết 1
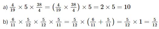
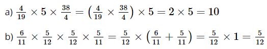
Vở bài tập Toán lớp 4 Tập 2 trang 100 Bài 1
Tính.

Lời giải

Vở bài tập Toán lớp 4 Tập 2 trang 100 Bài 2
Quãng đường chú rùa bò từ viên gạch trong sân đến bờ ao dài 150 m. Khi bò được
\(\frac{2}{5}\) quãng đường thì chú rùa dừng lại nghỉ. Hỏi chú rùa còn phải bò tiếp bao nhiêu mét nữa mới ra đến bờ ao?

Bài giải
……………………………………………………………………………………………..
……………………………………………………………………………………………..
……………………………………………………………………………………………..
……………………………………………………………………………………………..
……………………………………………………………………………………………..
Lời giải
Quãng đường chú rùa bò được là:
\(150\times \frac{2}{5} =60\) (m)
Chú rùa còn phải bò tiếp số mét nữa mới ra đến bờ ao là:
150 – 60 = 90 (m)
Đáp số: 90 m
Vở bài tập Toán lớp 4 Tập 2 trang 100 Bài 3
Viết phân số thích hợp vào chỗ chấm.
|
a) c) |
b) d) |
Lời giải
|
a) c) |
b) d) |
Vở bài tập Toán lớp 4 Tập 2 trang 101 Bài 4
Viết số thích hợp vào chỗ chấm.
Ngày trước, một ông quan có 1 560 quan tiền và 205 đấu gạo. Ông ấy đem bán hết gạo, mỗi đấu gạo bán được
\(\frac{3}{5}\) quan tiền. Sau đó, ông dùng tất cả số tiền của mình để mua một con tàu sắt. Vậy:
a) Số tiền bán gạo được …… quan tiền.
b) Con tàu sắt có giá là ……. quan tiền.
Lời giải
a) Số tiền bán gạo được là:
\(205\times \frac{3}{5} =123\) (quan tiền)
b) Con tàu sắt có giá là: 1 560 + 123 = 1 683 (quan tiền)
Vở bài tập Toán lớp 4 Tập 2 trang 101 Bài 5
Viết tiếp vào chỗ chấm cho thích hợp.

Mảnh đất hình chữ nhật ABCD có chiều rộng 4 m, diện tích
\(\frac{91}{2}\) m2. Trên mảnh đất này, người ta đào một cái ao hình chữ nhật để thả ba ba, phần đất còn lại làm một lối đi rộng 1 m (như hình vẽ). Diện tích cái ao là ….. m2.
Lời giải
Chiều dài mảnh đất hình chữ nhật ABCD là:
\(\frac{91}{2} :4=\frac{91}{8}\) (m)
Chiều dài cái ao là:
\(\frac{91}{8} -1=\frac{83}{8}\) (m)
Chiều rộng cái ao là:
4 – 1 = 3 (m)
Diện tích cái ao là:
\(\frac{83}{8} \times 3=\frac{249}{8}\) (m2)
Vậy diện tích cái ao là
\(\frac{249}{8}\) m2
Tiết 2
Vở bài tập Toán lớp 4 Tập 2 trang 101 Bài 1
Nối mỗi phép tính với phân số là kết quả của phép tính đó.

Lời giải

Vở bài tập Toán lớp 4 Tập 2 trang 101 Bài 2
Tính bằng cách thuận tiện.

Lời giải

Vở bài tập Toán lớp 4 Tập 2 trang 102 Bài 3
Viết tiếp vào chỗ chấm cho thích hợp.

Biết rằng EP = 3 m và diện tích các hình chữ nhật ECLP, CMNL được cho như trong hình.
Độ dài EM là …… m.
Lời giải
Độ dài cạnh EC là:
12 : 3 = 4 (m)
Ta có: EP = CL = 3m
Độ dài cạnh CM là:
\(\frac{27}{2} :3=\frac{9}{2}\) (m)
Độ dài cạnh EM là:
\(4+\frac{9}{2}=\frac{17}{2}\) (m)
Vậy độ dài EM là
\(\frac{17}{2}\) m
Vở bài tập Toán lớp 4 Tập 2 trang 102 Bài 4
Có 4 thanh gỗ (1), (2), (3), (4) trong một cái hộp có độ dài lần lượt là:
\(\frac{3}{2}\)m, 3m,
\(\frac{6}{2}\)m,
\(\frac{9}{6}\)m

a) Khoanh vào chữ đặt trước câu trả lời đúng.
Nếu lấy 4 thanh gỗ ra khỏi hộp thì xếp được khung hình chữ nhật nào sau đây?

b) Viết tiếp vào chỗ chấm cho thích hợp.
Chu vi của khung hình chữ nhật xếp được ở câu a là …… m.
Lời giải
a)
Đáp án đúng là: C
Ta có:
\(\frac{9}{6} =\frac{3}{2}\);
\(\frac{6}{2} =3\)
Thanh gỗ (1) = thanh gỗ (4)
Thanh gỗ (2) = thanh gỗ (3)
Vậy nếu lấy 4 thanh gỗ ra khỏi hộp thì xếp được khung hình chữ nhật C
b) Khung gỗ hình chữ nhật có chiều dài 3 m, chiều rộng
\(\frac{3}{2}\) m
Chu vi của khung hình chữ nhật xếp được ở câu a là:
\((3+\frac{3}{2})\times 2=9\) (m)
Vở bài tập Toán lớp 4 Tập 2 trang 102 Bài 5
Năm nay, bà ngoại của Minh 81 tuổi. Tuổi của Minh bằng
\(\frac{1}{9}\) tuổi của bà ngoại. Chị Huyền lớn hơn Minh 10 tuổi. Hỏi năm nay chị Huyền bao nhiêu tuổi?
Bài giải
……………………………………………………………………………………………..
……………………………………………………………………………………………..
……………………………………………………………………………………………..
……………………………………………………………………………………………..
……………………………………………………………………………………………..
Lời giải
Số tuổi của Minh là:
\(81\times \frac{1}{9} =9\) (tuổi)
Số tuổi của chị Huyền năm nay là:
9 + 10 = 19 (tuổi)
Đáp số: 19 tuổi
Tiết 3
Vở bài tập Toán lớp 4 Tập 2 trang 103 Bài 1
Khoanh vào chữ đặt trước câu trả lời đúng.
Biểu thức nào sau đây có giá trị bé nhất?
A.
\(15:\frac{3}{2}\) B.
\((\frac{4}{5} -\frac{5}{10})\times 5\) C.
\(7\times (\frac{1}{5} +\frac{5}{10} )\)
Lời giải
Đáp án đúng là: B

Vậy biểu thức B có giá trị bé nhất.
Vở bài tập Toán lớp 4 Tập 2 trang 103 Bài 2
Viết số thích hợp vào chỗ chấm.
Mái nhà của phú ông lợp 3 000 viên ngói. Số viên ngói để lợp mái nhà của Bờm bằng
\(\frac{2}{3}\) số viên ngói để lợp mái nhà của phú ông. Vậy để lợp mái nhà Bờm cần …….. viên ngói.
Lời giải
Số viên ngói để lợp mái nhà Bờm là:
\(3000\times \frac{2}{3} =2000\) (viên ngói)
Vậy để lợp mái nhà Bờm cần 2 000 viên ngói.
Vở bài tập Toán lớp 4 Tập 2 trang 103 Bài 3
Số?
Một tiệm may có 6 khay đựng chỉ. Mỗi khay đựng một màu chỉ: trắng, xanh, đen, vàng, tím, đỏ. Biết số cuộn chỉ ở mỗi khay là như nhau và tổng số cuộn chỉ là 360 cuộn.
a) Số cuộn chỉ trắng chiếm .......... tổng số khay đựng chỉ
b) Tổng số cuộn chỉ đỏ và xanh là ..... cuộn.
Lời giải
a) Ta thấy có 6 khay đựng chỉ, mỗi khay đựng một màu chỉ và số cuộn chỉ ở mỗi khay là như nhau.
Vậy số cuộn chỉ trắng chiếm
\(\frac{1}{6}\) tổng số cuộn chỉ.
b)
Số cuộn chỉ ở mỗi khay là:
360 : 6 = 60 (cuộn)
Tổng số cuộn chỉ đỏ và xanh là:
60 × 2 = 120 (cuộn)
Vậy tổng số cuộn chỉ đỏ và xanh là 120 cuộn.
Vở bài tập Toán lớp 4 Tập 2 trang 103 Bài 4
Số?

Cô Ba ở làng Chuồn làm bánh khoái. Cô đã làm xong 54 chiếc bánh khoái, trong đó
\(\frac{5}{9}\) số bánh là bánh nhân cá kình, còn lại là bánh nhân tôm.
Vậy cô đã làm …… chiếc bánh nhân tôm.
Lời giải
Số chiếc bánh nhân cá kình cô đã làm được là:
\(54\times \frac{5}{9} =30\) (chiếc)
Số chiếc bánh nhân tôm cô đã làm được là:
54 – 30 = 24 (chiếc)
Vậy cô đã làm 24 chiếc bánh nhân tôm.
Ngoài ra, các bạn có thể xem thêm:
- Giải Toán lớp 4 Kết nối tri thức
- Trắc nghiệm Toán lớp 4 Kết nối tri thức
- Bài tập cuối tuần toán lớp 4 Kết nối tri thức