Vở bài tập Toán lớp 4 Bài 62: Luyện tập chung Kết nối tri thức
Vở bài tập Toán lớp 4 Kết nối tri thức Bài 62: Luyện tập chung là lời giải chi tiết cho Bài 62 của quyển Toán 4 (Tập 2) sách Kết nối tri thức với cuộc sống, được biên soạn nhằm giúp các em học sinh học tập tốt môn Toán lớp 4. Đồng thời cũng là tài liệu để các bậc phụ huynh tham khảo và hướng dẫn con em mình trình bày bài giải cho phù hợp.
Tiết 1
Vở bài tập Toán lớp 4 Tập 2 trang 84 Bài 1
Tính.

Lời giải

Vở bài tập Toán lớp 4 Tập 2 trang 84 Bài 2
Viết phân số thích hợp vào ô trống.

Lời giải

Vở bài tập Toán lớp 4 Tập 2 trang 84 Bài 3
Tính bằng cách thuận tiện.

Lời giải

Vở bài tập Toán lớp 4 Tập 2 trang 84 Bài 4
Trong ngày Chủ nhật, bạn Việt dành
\(\frac{1}{12}\) thời gian để học bài;
\(\frac{1}{6}\) thời gian để đi chơi;
\(\frac{1}{3}\) thời gian để đi ngủ; thời gian còn lại Việt dành để làm những việc khác. Hỏi Việt dành bao nhiêu thời gian của ngày Chủ nhật để làm những việc khác?
Bài giải
……………………………………………………………………………………………
……………………………………………………………………………………………
……………………………………………………………………………………………
……………………………………………………………………………………………
……………………………………………………………………………………………
Lời giải
Thời gian Việt để học bài, đi chơi và đi ngủ là:
\(\frac{1}{12} +\frac{1}{6} +\frac{1}{3} =\frac{7}{12}\) (thời gian)
Việt dành số thời gian của ngày Chủ nhật để làm những việc khác là:
\(1-\frac{7}{12} =\frac{5}{12}\) (thời gian)
Đáp số:
\(\frac{5}{12}\) thời gian
Vở bài tập Toán lớp 4 Tập 2 trang 85 Bài 5
Tính tổng các phân số trên mỗi hàng, mỗi cột (theo mẫu).

Lời giải

Tiết 2
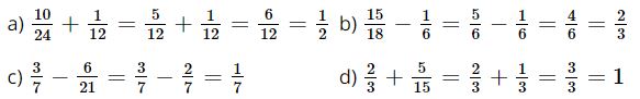
Vở bài tập Toán lớp 4 Tập 2 trang 85 Bài 1
Đ, S?

Lời giải

Vở bài tập Toán lớp 4 Tập 2 trang 85 Bài 2
Rút gọn rồi tính.

Lời giải

Vở bài tập Toán lớp 4 Tập 2 trang 85 Bài 3
Trong bình có
\(\frac{4}{5}\) l nước. Sau đó, Việt rót thêm
\(\frac{1}{5}\) l nước vào bình. Tính số lít nước có trong bình sau khi rót thêm.
Bài giải
……………………………………………………………………………………………
……………………………………………………………………………………………
……………………………………………………………………………………………
Lời giải:
Số lít nước có trong bình sau khi rót thêm là:
\(\frac{4}{5} +\frac{1}{5} =1\)(lít)
Đáp số: 1 lít nước
Vở bài tập Toán lớp 4 Tập 2 trang 86 Bài 4
Một chiếc gậy dài
\(\frac{3}{4}\) m. Người ta chia chiếc gậy thành ba khúc. Biết rằng, khúc thứ nhất dài
\(\frac{1}{2}\) m; khúc thứ hai dài
\(\frac{1}{8}\) m. Tính chiều dài của khúc thứ ba.
Bài giải
……………………………………………………………………………………………
……………………………………………………………………………………………
……………………………………………………………………………………………
Lời giải
Chiều dài của khúc thứ ba là:
\(\frac{3}{4} -\frac{1}{2} -\frac{1}{8} =\frac{1}{8}\)( m)
Đáp số:
\(\frac{1}{8}\)m
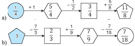
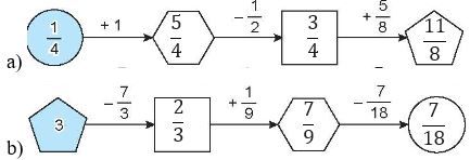
Vở bài tập Toán lớp 4 Tập 2 trang 86 Bài 5
Viết tiếp vào chỗ chấm cho thích hợp.

Nam xếp các tấm thẻ thành một phép cộng hai phân số nhưng bị sai như hình bên.
Để được phép tính đúng, Nam cần đổi chỗ 2 tấm thẻ ghi số …… và ……., khi đó phép tính đúng là ……
Lời giải
Để được phép tính đúng, Nam cần đổi chỗ 2 tấm thẻ ghi số 4 và 1, khi đó phép tính đúng là:
\(\frac{1}{12} +\frac{4}{6} =\frac{1}{12}+\frac{8}{12}=\frac{9}{12}\)
Tiết 3
Vở bài tập Toán lớp 4 Tập 2 trang 86 Bài 1
Tính.

Lời giải

Vở bài tập Toán lớp 4 Tập 2 trang 87 Bài 2
Viết phân số thích hợp vào ô trống.

Lời giải

Vở bài tập Toán lớp 4 Tập 2 trang 87 Bài 3
Mai đọc xong một cuốn truyện trong ba ngày. Ngày thứ nhất, Mai đọc được
\(\frac{1}{6}\) cuốn truyện. Ngày thứ hai, Mai đọc thêm được
\(\frac{1}{3}\) cuốn truyện. Hỏi ngày thứ ba, Mai đọc được mấy phần của cuốn truyện?
Bài giải
……………………………………………………………………………………………
……………………………………………………………………………………………
……………………………………………………………………………………………
……………………………………………………………………………………………
……………………………………………………………………………………………
Lời giải
Số phần của cuốn truyện Mai đọc được trong 2 ngày đầu là:
\(\frac{1}{6} +\frac{1}{3} =\frac{1}{2}\) (cuốn truyện)
Ngày thứ ba, Mai đọc được số phần của cuốn truyện là:
\(1-\frac{1}{2} =\frac{1}{2}\) (cuốn truyện)
Đáp số:
\(\frac{1}{2}\) cuốn truyện
Vở bài tập Toán lớp 4 Tập 2 trang 87 Bài 4: Viết tiếp vào chỗ chấm cho thích hợp.

a) Chu vi hình tam giác ABC là ……………………...............................................
b) Chu vi hình tứ giác MNPQ là ……………………..............................................
Lời giải
a)
Chu vi hình tam giác ABC là:
\(\frac{5}{12}+\frac{2}{3}+\frac{1}{2} =\frac{19}{12}\) (m)
b)
Chu vi hình từ giác MNPQ là:
\(\frac{8}{7} +\frac{11}{14} +2+1=\frac{69}{14}\)(m)
Ngoài ra, các bạn có thể xem thêm:
- Giải Toán lớp 4 Kết nối tri thức
- Trắc nghiệm Toán lớp 4 Kết nối tri thức
- Bài tập cuối tuần toán lớp 4 Kết nối tri thức