Vở bài tập Toán lớp 4 Bài 70: Ôn tập phép tính với phân số Kết nối tri thức
Vở bài tập Toán lớp 4 Kết nối tri thức Bài 70: Ôn tập phép tính với phân số là lời giải chi tiết cho Bài 70 của quyển Toán 4 (Tập 2) sách Kết nối tri thức với cuộc sống. Bài giải được biên soạn nhằm giúp các em học sinh học tập tốt môn Toán lớp 4. Đồng thời cũng là tài liệu để các bậc phụ huynh tham khảo và hướng dẫn con em mình trình bày bài giải cho phù hợp.
Tiết 1
Vở bài tập Toán lớp 4 Tập 2 trang 114 Bài 1
Tính.

Lời giải

Vở bài tập Toán lớp 4 Tập 2 trang 114 Bài 2
Tính giá trị của biểu thức.

Lời giải

Vở bài tập Toán lớp 4 Tập 2 trang 114 Bài 3
Bác Tuấn có một mảnh vườn, bác đã sử dụng
\(\frac{4}{7}\) diện tích để trồng rau và
\(\frac{5}{14}\) diện tích để trồng cây ăn quả, diện tích còn lại để làm lối đi. Hỏi bác Tuấn đã dành bao nhiêu phần diện tích mảnh vườn để làm lối đi?
Bài giải
……………………………………………………………………………………………..
……………………………………………………………………………………………..
……………………………………………………………………………………………..
……………………………………………………………………………………………..
……………………………………………………………………………………………..
Lời giải
Số phần diện tích để trồng rau và cây ăn quả là:
\(\frac{4}{7} + \frac{5}{14} =\frac{13}{14}\) (diện tích)
Số phần diện tích để làm lối đi là:
\(1-\frac{13}{14} =\frac{1}{14}\) (diện tích)
Đáp số:
\(\frac{1}{14}\) diện tích mảnh vườn
Vở bài tập Toán lớp 4 Tập 2 trang 115 Bài 4
Tính bằng cách thuận tiện.
\(\frac{5}{4} +\frac{4}{7} + \frac{17}{7}-3=...........................................\)
Lời giải
\(\frac{5}{4} +\frac{4}{7} + \frac{17}{7}-3=\frac{5}{4} +(\frac{4}{7} + \frac{17}{7})-3=\frac{5}{4}+ 3-3=\frac{5}{4}\)
Vở bài tập Toán lớp 4 Tập 2 trang 115 Bài 5
Đố em!
a) Viết phân số
\(\frac{5}{8}\) thành tổng của hai phân số có tử số bằng 1 và mẫu số khác nhau.
b) Viết phân số
\(\frac{2}{3}\) thành tổng của hai phân số có tử số bằng 1 và mẫu số khác nhau.
Lời giải
a)
\(\frac{5}{8} =\frac{4}{8}+ \frac{5}{8}=\frac{1}{2}+ \frac{5}{8}\)
b)
\(\frac{2}{3} =\frac{1}{3}+ \frac{1}{3}\)
Tiết 2
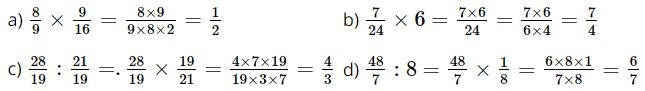
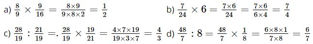
Vở bài tập Toán lớp 4 Tập 2 trang 115 Bài 1
Tính.

Lời giải

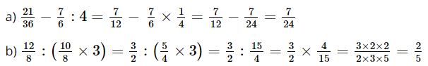
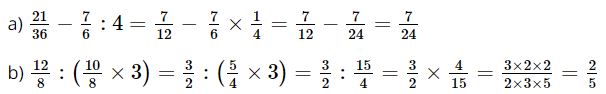
Vở bài tập Toán lớp 4 Tập 2 trang 115 Bài 2
Rút gọn rồi tính giá trị của biểu thức.

Lời giải

Vở bài tập Toán lớp 4 Tập 2 trang 115 Bài 3
Mai có 350 000 đồng tiền tiết kiệm. Mai đã dùng
\(\frac{5}{7}\) số tiền đó để mua sách vở giúp đỡ các bạn có hoàn cảnh khó khăn. Hỏi Mai còn lại bao nhiêu tiền?
Lời giải
Mai đã dùng hết số tiền là:
350 000×
\(\frac{5}{7}\) =250 000 (đồng)
Mai còn lại số tiền là:
350 000 – 250 000 = 100 000 (đồng)
Đáp số: 100 000 đồng
Vở bài tập Toán lớp 4 Tập 2 trang 116 Bài 4
Một tấm kính hình chữ nhật có diện tích là
\(\frac{8}{9}\) m2 và chiều dài là
\(\frac{4}{3}\) m. Tính chu vi của tấm kính đó.

Lời giải
Chiều rộng tấm kính hình chữ nhật là:
\(\frac{8}{9} :\frac{4}{3} =\frac{2}{3}\) (m)
Chu vi của tấm kính đó là:
\((\frac{4}{3} + \frac{2}{3} )\times 2=4\) (m)
Đáp số: 4 m
Vở bài tập Toán lớp 4 Tập 2 trang 116 Bài 5
Tính bằng cách thuận tiện.
a)
\(\frac{7}{6} \times \frac{9}{16} \times \frac{6}{7} \times 16\) = ...........................................................................................................
= ...........................................................................................................
b)
\(\frac{7}{12} \times \frac{4}{9} + \frac{4}{9}\times \frac{5}{12}-\frac{2}{9}\) = ..................................................................................................
= ..................................................................................................
Lời giải
a)
\(\frac{7}{6} \times \frac{9}{16} \times \frac{6}{7} \times 16=(\frac{7}{6} \times\frac{6}{7})\times (\frac{9}{16} \times16)\)
\(=1\times 9=9\)
b)
\(\frac{7}{12} \times \frac{4}{9} + \frac{4}{9}\times \frac{5}{12}-\frac{2}{9}=\frac{4}{9}\times(\frac{7}{12}+ \frac{5}{12})-\frac{2}{9}\)
\(=\frac{4}{9}\times 1-\frac{2}{9}\)
\(=\frac{4}{9}-\frac{2}{9}=\frac{2}{9}\)
Ngoài ra, các bạn có thể xem thêm:
- Giải Toán lớp 4 Kết nối tri thức
- Trắc nghiệm Toán lớp 4 Kết nối tri thức
- Bài tập cuối tuần toán lớp 4 Kết nối tri thức