Vở bài tập Toán lớp 4 Bài 63: Phép nhân phân số Kết nối tri thức
Vở bài tập Toán lớp 4 Kết nối tri thức Bài 63: Phép nhân phân số là lời giải chi tiết cho Bài 63 của quyển Toán 4 (Tập 2) sách Kết nối tri thức với cuộc sống, được biên soạn nhằm giúp các em học sinh học tập tốt môn Toán lớp 4. Đồng thời cũng là tài liệu để các bậc phụ huynh tham khảo và hướng dẫn con em mình trình bày bài giải cho phù hợp.
Tiết 1
Vở bài tập Toán lớp 4 Tập 2 trang 88 Bài 1
Tính.

Lời giải

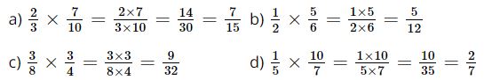
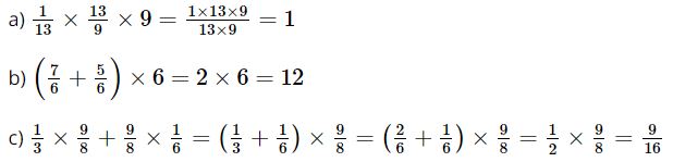
Vở bài tập Toán lớp 4 Tập 2 trang 88 Bài 2
Rút gọn rồi tính.

Lời giải

Vở bài tập Toán lớp 4 Tập 2 trang 88 Bài 3
Viết phân số thích hợp vào chỗ chấm.
Tấm gỗ hình chữ nhật có chiều dài ….. m và chiều rộng ….. m.
Diện tích tấm gỗ đó là ….. m2.

Lời giải
Tấm gỗ hình chữ nhật có chiều dài
\(\frac{3}{4}\)m và chiều rộng
\(\frac{3}{5}\)m.
Diện tích tấm gỗ đó là
\(\frac{3}{4} \times \frac{3}{5} =\frac{9}{20}\)m2.
Vở bài tập Toán lớp 4 Tập 2 trang 88 Bài 4
Tô màu vào những cây hoa súng ghi phép tính có kết quả lớn hơn 1.

Lời giải
Ta có:

Vậy ta tô màu vào các bông hoa sau:

Tiết 2
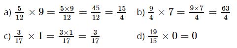
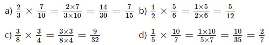
Vở bài tập Toán lớp 4 Tập 2 trang 89 Bài 1
Tính.

Lời giải

Vở bài tập Toán lớp 4 Tập 2 trang 89 Bài 2
Tính.

Lời giải

Vở bài tập Toán lớp 4 Tập 2 trang 89 Bài 3
Viết tiếp vào chỗ chấm cho thích hợp.

Chu vi của hình tam giác ABC là …… dm.
Lời giải
Chu vi hình tam giác ABC là:
\(\frac{7}{3} +\frac{7}{3}+\frac{7}{3}=7\) (dm)
Vậy chu vi của hình tam giác ABC là 7 dm
Vở bài tập Toán lớp 4 Tập 2 trang 89 Bài 4
Chó Mực chạy theo Mèo đúng 4 vòng quanh một cái sân hình chữ nhật có chu vi là
\(\frac{173}{2}\) m rồi đứng nghỉ. Tính độ dài quãng đường Chó Mực đã chạy.

Lời giải
Độ dài quãng đường Chó Mực đã chạy là:
\(\frac{173}{2} \times 4=346\) (m)
Đáp số: 346 m
Tiết 3
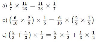
Vở bài tập Toán lớp 4 Tập 2 trang 90 Bài 1
>, <, = ?

Lời giải

Vở bài tập Toán lớp 4 Tập 2 trang 90 Bài 2
Tính.

Lời giải

Vở bài tập Toán lớp 4 Tập 2 trang 90 Bài 3
Viết tiếp vào chỗ chấm cho thích hợp.
Bác Yên nuôi 10 bè cá trắm lẫn cá mè. Trung bình mỗi bữa, một bè cá ăn hết
\(\frac{71}{10}\) yến cỏ. Vậy mỗi bữa, 10 bè cá của bác Yên ăn hết ….. yến cỏ.
Lời giải
Mỗi bữa, 10 bè cá của bác Yên ăn hết:
\(\frac{71}{10}\times 10=71\) (yến cỏ)
Vở bài tập Toán lớp 4 Tập 2 trang 90 Bài 4
Viết phân số thích hợp vào chỗ chấm.
Có hai toà nhà và một cái cây như hình vẽ. Biết ở mỗi toà nhà, các tầng cao bằng nhau và toà nhà cao hơn có chiều cao là 18 m. Chiều cao của cái cây là ..... m

Lời giải
Tòa nhà cao hơn có 7 tầng nênchiều cao của mỗi tầng là:
\(18:7=\frac{18}{7}\) (m)
Chiều cao của cái cây bằng chiều cao 5 tầng của tòa nhà đó.
Vậy chiều cao của cái cây là:
\(\frac{18}{7} \times 5=\frac{90}{7}\) (m)
Vở bài tập Toán lớp 4 Tập 2 trang 91 Bài 5
Viết phân số thích hợp vào chỗ chấm.
Bạn Hiển cắt một chiếc hộp giấy không nắp được tấm bìa như hình vẽ.

Biết mỗi hình vuông có cạnh
\(\frac{5}{3}\) dm.
Diện tích tấm bìa là …… dm2.
Lời giải
Diện tích một hình vuông là:
\(\frac{5}{3} \times \frac{5}{3} =\frac{25}{9}\) (dm2)
Ta thấy chiếc hộp giấy không nắp gồm 5 hình vuông bằng nhau
Vậy diện tích tấm bìa là:
\(\frac{25}{9} \times 5=\frac{125}{9}\) (dm2)
Tiết 4
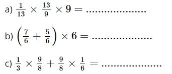
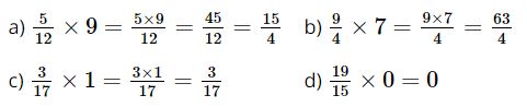
Vở bài tập Toán lớp 4 Tập 2 trang 91 Bài 1
Tính rồi rút gọn.

Lời giải

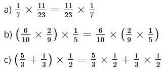
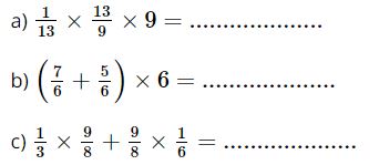
Vở bài tập Toán lớp 4 Tập 2 trang 91 Bài 2
Tính bằng cách thuận tiện.

Lời giải

Vở bài tập Toán lớp 4 Tập 2 trang 92 Bài 3
Viết phân số thích hợp vào chỗ chấm.
Trên một bức tường người ta gắn các tủ tài liệu, mỗi tủ chiếm một vị trí có dạng hình chữ nhật có chiều dài
\(\frac{15}{2}\) dm, chiều rộng 4 dm.
a) Diện tích phần bức tường gắn mỗi tủ tài liệu loại đó là ….. dm2.
b) Người ta gắn 3 tủ tài liệu cùng loại đó sát nhau trên một bức tường. Diện tích phần bức tường gắn 3 tủ tài liệu đó là ..... dm2.
Lời giải
a) Diện tích phần bức tường gắn mỗi tủ tài liệu loại đó là:
\(\frac{15}{2} \times 2=30\) (dm2)
b) Diện tích phần bức tường gắn 3 tủ tài liệu đó là:
30 × 3 = 90 (dm2)
Vở bài tập Toán lớp 4 Tập 2 trang 92 Bài 4
Khoanh vào chữ đặt trước câu trả lời đúng.
Ngôi làng của Bọ Rùa có dạng một hình vuông với chu vi là 3 m. Diện tích của ngôi làng đó là:
A. 9 m2 B.
\(\frac{9}{16}\) m2 C.
\(\frac{16}{9}\) m2 D. 6
\(\frac{6}{8}\) m2
Lời giải
Đáp án cần chọn là: B
Độ dài cạnh của ngôi làng là:
\(3:4=\frac{3}{4}\) (m)
Diện tích của ngôi làng đó là:
\(\frac{3}{4}\times \frac{3}{4} =\frac{9}{16}\) (m2)
Đáp số:
\(\frac{9}{16}\) m2
Vở bài tập Toán lớp 4 Tập 2 trang 92 Bài 5
Để chuẩn bị thực phẩm cho một chuyến đi dã ngoại, mỗi người trong đoàn đã chuẩn bị
\(\frac{3}{5}\) kg ruốc và
\(\frac{7}{10}\) kg giò lụa. Biết đoàn đi dã ngoại có tất cả 10 người. Hỏi đoàn đi dã ngoại đã chuẩn bị tất cả bao nhiêu ki-lô-gam ruốc và giò lụa?
Lời giải
Đoàn đi dã ngoại đã chuẩn bị tất cả số kg ruốc là:
\(\frac{3}{5}\)×10 = 6 (kg)
Đoàn đi dã ngoại đã chuẩn bị tất cả số kg giò lụa là:
\(\frac{7}{10}\)×10 = 7 (kg)
Đáp số: 6 kg ruốc
7 kg giò lụa
Ngoài ra, các bạn có thể xem thêm:
- Giải Toán lớp 4 Kết nối tri thức
- Trắc nghiệm Toán lớp 4 Kết nối tri thức
- Bài tập cuối tuần toán lớp 4 Kết nối tri thức