2 Đề thi thử vào lớp 10 môn Toán có đáp án
2 Đề thi thử tuyển sinh lớp 10 môn Toán hay
Nhanh tay download: 2 Đề thi thử vào lớp 10 môn Toán có đáp án. Đề thi sẽ giúp các em rèn luyện khả năng giải đề, làm quen với dạng đề, rút ra cách phân bổ thời gian hợp lý,...Đây sẽ là tài liệu tham khảo hữu ích cho các em học sinh.
Đề thi thử vào lớp 10 môn Toán Phòng GD&ĐT Na Hang, Tuyên Quang năm học 2017 - 2018
Đề thi thử vào lớp 10 môn Toán Phòng GD&ĐT Lâm Bình, Tuyên Quang năm học 2017 - 2018
Đề thi thử vào lớp 10 môn Toán Phòng GD&ĐT Hàm Yên, Tuyên Quang năm học 2017 - 2018
ĐỀ 1:
Câu 1: (2 điểm)
a) Giải phương trình sau: x2 + 6x + 5 =0
b) Giải hệ phương trình:
| { | -a + b = 2 |
| 2a + 5b = 3 |
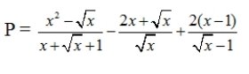
Câu 2: (2 điểm)
Cho biểu thức

a) Rút gọn P
b) Tính giá trị của P khi x = 3+ 2√2
Câu 3: (2 điểm)
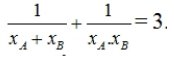
Trong mặt phẳng tọa độ Oxy cho đường thẳng (d): y= 2x - a2 và parabol
(P): y = ax2, (trong đó a là tham số dương).
a) Tìm a để (d) cắt (P) tại hai điểm phân biệt A và B. Chứng minh rằng khi đó A, B có hoành độ dương.
b) Gọi xA và xB là hoành độ của A và B. Tìm a để thỏa mãn biểu thức sau:
![]()
Câu 4: (3 điểm)
Cho đường tròn (O;R) có dây MN cố định (MN < 2R). P là một điểm trên cung lớn MN sao cho tam giác MNP có 3 góc nhọn. Các đường cao ME, NK của tam giác MNP cắt nhau tại H.
a) Chứng minh tứ giác PKHE nội tiếp được đường tròn.
b) Kéo dài PO cắt đường tròn tại Q. Chứng minh MQ//NK và góc KNM = góc NPQ
c) Chứng minh rằng khi P thay đổi trên đường tròn (O) thì độ dài đoạn PH không đổi
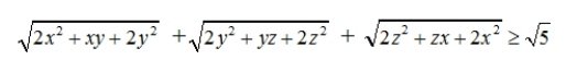
Câu 5: (1 điểm)
Cho các số dương x, y, z thỏa mãn: x + y + z = 1.
Chứng minh rằng:
![]()
ĐÁP ÁN ĐỀ THI THỬ VÀO LỚP 10 MÔN TOÁN (ĐỀ 1)



Còn tiếp