Bộ đề thi Violympic Toán lớp 9 năm học 2016 - 2017
Bộ đề thi Violympic Toán lớp 9 năm học 2016 - 2017
Mời quý thầy cô và các bạn học sinh cùng tham khảo: Bộ đề thi Violympic Toán lớp 9 năm học 2016 - 2017. Tham khảo bộ đề thi để quý thầy cô có thêm tư liệu phục vụ cho việc ra đề thi cũng như hướng dẫn ôn tập cho học sinh có hiệu quả hơn, các bạn học sinh có thêm nguồn tư liệu ôn thi hữu ích đồng thời các bạn sẽ hệ thống lại toàn bộ kiến thức, tích lũy kinh nghiệm giải đề và biết cách phân bổ thời gian hợp lý trong từng bài thi. Chúc các bạn học sinh ôn thi hiệu quả và đạt kết quả cao trong kì thi Violympic!
Bộ đề thi Violympic Toán lớp 6 năm học 2016 - 2017
Đề thi Violympic Toán lớp 9 vòng 1 năm 2016 - 2017
Bài 1: Vượt chướng ngại vật
Câu 1: Giá trị của biểu thức
biết x² - 4x + 1 = 0 là ...
Câu 2: Giá trị của x thỏa mãn
là x = ...
(Nhập kết quả dưới dạng phân số tối giản)
Câu 3: Số dương x thỏa mãn |x - 4| = 5 là x = ...
Câu 4: Số các tự nhiên n thỏa mãn: 5(2 - 3n) + 42 + 3n ≥ 0 là ...
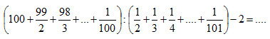
Câu 5: Tính: 
Bài 2: Đỉnh núi trí tuệ
Câu 1: Điều kiện xác định của phương trình
là:
A) x # 0; ±1 B) x = ±1 C) x # ±1 D) x # 0
Câu 2: Nếu a + b = 6 a³ - b³ = 0 thì a = ...
Câu 3: Cho hình thanh ABCD đáy nhỏ AB. Giả sử M, N là trung điểm hai cạnh bên và MN = 5cm. Biết diện tích hình thang là 10cm². Vậy độ dài đường cao của hình thang là:
A) 1cm B) 4cm C) 3cm D) 2cm
Câu 4: Giá trị của biểu thức A = x³ + y³ + 3x²y + 3xy² với x + y = 5 là A = ....
Câu 5: Tìm m sao cho phương trình (9x + 1)(x - 2m) = (3x + 2)(3x - 5) nhận x = 1 làm nghiệm.
Câu 6: Giải bất phương trình 5 - 3x > -10 ta được kết quả là:
A) x ≤ 5 B) x > 5 C) x < 5 D) x = 5
Câu 7: Cho biểu thức
. Với các số a, b, c khác 0 thỏa mãn a + b + c = 0 thì giá trị của biểu thức A bằng:
A) 3 B) 4 C) 2 D) 0
Câu 8: Tìm x biết (5x - 3)(7x + 2) - 35x(x - 1) = 42
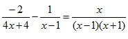
Câu 9: Số giá trị của x để biểu thức
đạt giá trị bằng 0 là ....
Câu 10: Tổng x + y biết x, y thỏa mãn x² + 2y² - 2xy + 4y + 4 =0 là:
A) x + y = 4
B) x + y = -4
C) x + y = 2
D) x + y = -2
Câu 11: Tổng các nghiệm của phương trình (x² - 4).(x² - 10) = 72 là ...
Câu 12: Cho biểu thức
. Với a > b > 0 và 2(a² + b²) = 5ab thì giá trị biểu thức P là ...
Bài 3: Đi tìm kho báu
Câu 1: Số nghiệm của phương trình x² + 5x + 10 = 0 là:
A) 2 B) 3 C) 1 D) 0
Câu 2: Nếu a, b,c là các số khác 0 và a = ab; b = 3c thì a/c = ...
Câu 3: Giá trị nhỏ nhất của biểu thức A = 3x² + y² + 2xy + 4x là ...
Câu 4: Số các số nguyên x để
nhận giá trị nguyên là ...
Câu 5: Tập hợp các giá trị x thỏa mãn (x - 1)² = 2016. |x - 1| là {...}
(Nhập các giá trị theo thứ tự tăng dần, cách nhau bởi dấu ";")
Câu 6: Tìm x biết x + 2x + 3x + ... + 2016x = 2017.2018.
Câu 7: Cho biểu thức A = x4 + x². Với những giá trị x thỏa mãn |x| = 2 thì A = ...
Câu 8: Số các giá trị của x để phân thức
có giá trị bằng 0 là ...
Câu 9: Cho ABCD là hình thoi. Phát biểu nào dưới đây không đúng?
A) ABCD là hình thang
B) ABCD là tứ giác
C) ABCD là hình bình hành
D) ABCD là hình vuông
Câu 10: Nếu (a + b)² = 5 thì (a + b)6 = ...
Câu 11: Có bao nhiêu giá trị của x để x3 - 8 = (x - 3)3?
A) 1 B) 0 C) 3 D) 2
Đáp án đề thi Violympic Toán lớp 9 vòng 1 năm 2016 - 2017
Bài 1: Vượt chướng ngại vật
Câu 1: 3
Câu 2: 5/2
Câu 3: 9
Câu 4: 5
Câu 5: 99
Bài 2: Đỉnh núi trí tuệ
| Câu 1: C Câu 2: 3 Câu 3: D Câu 4: 125 Câu 5: 1 Câu 6: C |
Câu 7: D Câu 8: 2 Câu 9: 0 Câu 10: B Câu 11: 0 Câu 12: 1 |
Bài 3: Đi tìm kho báu
| Câu 1: D Câu 2: 6 Câu 3: -2 Câu 4: 4 Câu 5: -2015; 2017 Câu 6: 1009/1004 |
Câu 7: 20 Câu 8: 0 Câu 9: D Câu 10: 125 Câu 11: A |
Đề thi Violympic Toán lớp 9 vòng 2 năm 2016 - 2017
Bài 1: Đỉnh núi trí tuệ
Câu 1: Điều kiện của x thỏa mãn
là:
A) Không tồn tại x B) x ≥ -1 C) x ≥ 0 D) x ≤ -1
Câu 2: Biểu thức nào dưới đây có giá trị bằng căn bậc hai số học của 49?
A) √72 B) √-72 C) -√(-7)2 D) -√72
Câu 3: Căn bậc hai nào sau đây có giá trị là 0,9?
A) √0,081 B) √0,81 C) √8,1 D) √81
Câu 4: Tính
với x = 0 ta được kết quả là ...
Câu 5: Cho phân thức
. Nhân tử chung của tử và mẫu là:
A) 4a B) 4b C) 12b D) 12a
Câu 6: Tính √2,89 + √0,09 = ...
Câu 7: So sánh: 2 và √5 - 3 ta được kết quả là 2 ... √5 - 3.
Câu 8: Giá trị của biểu thức (x - 2).(x4 + 2x³ + 4x² + 8x + 16) với x = 3 ta được kết quả là:
Câu 9: Giá trị lớn nhất của biểu thức A = 6x - x² là ...
Câu 10: Tính A = √1 + √4 + √9 + ... + √81 + √100 = ...
Bài 2: Tìm cặp bằng nhau

Bài 3: Vượt chướng ngại vật
Câu 1: Tìm x biết x1 - x + 1/4 = 0
Câu 2: Nghiệm của phương trình
là x = ...
Câu 3: Tính (√121 + √169 + √64) : 2 = ...
Câu 4: Xác định a sao cho: (6x³ - 7x² + x + a) chia hết cho (2x + 1).
Câu 5: Trước đây 5 năm, tuổi của Na bằng nửa tuổi của Na sau 4 năm nữa. Hãy cho biết tuổi hiện nay của Na.
Câu 6: Giá trị đa thức A = x7 - 80x6 + 80x5 - 80x4 + 80x³ - 80x² + 80x + 15 với x = 79 ta được A = ...
Câu 7: Tìm x để biểu thức x² - 20x + 5 đạt giá trị nhỏ nhất.
Đáp án đề thi Violympic Toán lớp 9 vòng 2 năm 2016 - 2017
Bài 1: Đỉnh núi trí tuệ
| Câu 1: A Câu 2: A Câu 3: B Câu 4: 2 Câu 5: A |
Câu 6: 2 Câu 7: > Câu 8: 211 Câu 9: 9 Câu 10: 55 |
Bài 2: Tìm cặp bằng nhau
(1) = (12); (2) = (10); (3) = (19); (4) = (6); (5) = (20); (7) = (17); (8) = (18); (9) = (15); (11) = (14); (16) = (19)
Bài 3: Vượt chướng ngại vật
| Câu 1: 0,5 Câu 2: -7 Câu 3: 3 Câu 4: 3 |
Câu 5: 14 Câu 6: 94 Câu 7: 10 |