Đề thi Violympic Toán lớp 9 vòng 14 năm 2016 - 2017
Đề thi Violympic Toán lớp 9 vòng 14 năm 2016 - 2017
Để bài thi Violympic Toán đạt được kết quả cao, ngoài việc tìm hiểu sâu và rộng phần kiến thức ra thì các bạn phải có chiến thuật riêng trong cách giải đề thi và phải rèn luyện, áp dụng chiến thuật ấy trên từng đề thi cụ thể. Dưới đây là: Đề thi Violympic Toán lớp 9 vòng 14 năm 2016 - 2017 được chúng tôi sưu tầm nhằm giới thiệu cho các bạn như một tư liệu tham khảo.
Đề thi Violympic Toán lớp 6 vòng 14 năm 2016 - 2017
Đề thi Violympic Toán lớp 7 vòng 14 năm 2016 - 2017
Đề thi Violympic Toán lớp 8 vòng 14 năm 2016 - 2017
Mời làm: Đề thi Violympic Toán lớp 9 vòng 14 năm 2016 - 2017 Online
Đề thi Violympic Toán lớp 9 vòng 14 năm 2016 - 2017
Bài 1: Đi tìm kho báu
Câu 1:

Câu 2:
![]()
Câu 3: Giá trị nhỏ nhất của P = x + √x - 6 là:...
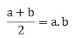
Câu 4:
![]()
Câu 5: Giá trị của P = x3 + y3 - 3(x + y) + 1977 biết
![]()
Bài 2: Mười hai con giáp
Câu 1:
![]()
Câu 2: Tìm m để đồ thị hàm số y = (m - 3)x đi qua điểm A(1; 2). Vậy m =...
Câu 3:

Câu 4:
![]()
A) A < B
B) A > B
C) A = B
D) không so sánh được
Câu 5: Cho hai số a, b không âm, khẳng định nào sau đâu đúng
A.![]()
B.![]()
C.![]()
D.![]()
Câu 6: Tìm tất cả các giá trị của x thỏa mãn
A) x ≥ 5
B) x = 5
C) x < 5
D) x = 6
Câu 7: Tìm x biết x - 4√x + 4 = 0. Vậy x =...
Câu 8: Tính sin2350 + sin2550 =...
Câu 9: Rút gọn P = cos2α + cos2α.cot2α (với 00 < α < 900) ta được:
A) P = 1 + cotα
B) P = cot2α
C) P = 1 - cotα
D) P = tan2α
Câu 10: Căn bậc hai số học của 144 là:
A) -12
B) 12
C) -11
D) 11
Bài 3: Đừng để điểm rơi
Câu 1: Tính √0,04 + √0,25 =...
Câu 2: Tìm m để A(1; 2) thuộc đồ thị hàm số y = x + m. Vậy m =...
Câu 3: Tìm a để đồ thị hàm số y = ax + 2 song song với đồ thị hàm số y = 5x - 2. Vậy a =...
Câu 4: Tìm x biết √x = 3. Vậy x =...
Câu 5: Tính ![]()
Câu 6:

Câu 7: Tìm x biết (2 + √x)(√x + 1) = x + 5. Vậy x =...
Câu 8: Cho hàm số y = (m2 - 2m + 1)x. Với giá trị nào của m thì đồ thị hàm số là trục hoành?
Câu 9:
![]()
Câu 10: Cho ΔABC vuông ở A, dựng đường tròn tâm I đi qua B và tiếp xúc với AC. Cho AB = 24cm, AC = 32cm. Tính bán kính đường tròn tâm I?
Đáp án đề thi Violympic Toán lớp 9 vòng 14 năm 2016 - 2017
Bài 1: Đi tìm kho báu
Câu 1: 7
Câu 2: 2
Câu 3: -6
Câu 4: 6
Câu 5: 2107
Bài 2: Mười hai con giáp
| Câu 1: 25 Câu 2: 5 Câu 3: 2017 Câu 4: C Câu 5: C |
Câu 6: A Câu 7: 4 Câu 8: 1 Câu 9: B Câu 10: B |
Bài 3: Đừng để điểm rơi
| Câu 1: 0,7 Câu 2: 1 Câu 3: 5 Câu 4: 9 Câu 5: 2 |
Câu 6: 4/3 Câu 7: 1 Câu 8: 1 Câu 9: 1 Câu 10: 15 |