Đề kiểm tra học kì II lớp 6 môn Toán - Phòng Giáo dục Bảo Lộc, Lâm Đồng (Đề 2)
Đề kiểm tra học kì II môn Toán lớp 6
Đề kiểm tra học kì 2 môn Toán nphòng GD&ĐT Bảo Lộc, Lâm Đồng là đề thi học kì II môn Toán lớp 6 dành cho các bạn học sinh và thầy cô tham khảo, làm tài liệu nghiên cứu, học tập môn Tóab lớp 6 được chắc chắn nhất, làm cơ sở học lên chương trình học lớp 7.
Đề thi giữa học kì 2 môn Khoa học xã hội lớp 6 trường THCS Nguyễn Trung Trực, Cà Mau năm 2015 - 2016
Đề thi giữa học kì 2 môn Vật lý lớp 6 phòng GD&ĐT Bắc Giang năm 2015 - 2016
|
PHÒNG GIÁO DỤC BẢO LỘC LÂM ĐỒNG |
ĐỀ KIỂM TRA HỌC KỲ II MÔN TOÁN LỚP 6 Thời gian làm bài: 90 phút |
I. Trắc nghiệm khách quan (2 điểm).
Trong mỗi câu từ câu 1 đến câu 4 đều có 4 phương án trả lời a, b, c, d; trong đó chỉ có một phương án đúng. Hãy khoanh tròn vào chữ cái đứng trước phương án đúng.
Câu 1. Hỗn số
được viết dưới dạng phân số là
![]()
Câu 2. Trong các phân số
phân số nhỏ nhất là
![]()
Câu 3. Số nghịch đảo của số -1/5 là:
a. 1/5 b. 5 c. - 5 d. Kết quả khác
Câu 4. Nếu Ot là tia phân giác của góc xOy thì ta có:
a. Tia Oy nằm giữa tia Ox và tia Ot.
![]()
c. Góc xOt và góc xOy là hai góc kề nhau.
d. Góc xOt và góc tOy là hai góc kề bù.
Câu 5. Điền dấu “x” vào ô thích hợp
| Câu | Đúng | Sai |
| a) Hai số đối nhau là hai số có tích bằng 1. | ||
| b) Hai phân số |
||
| c) Phân số tối giản là phân số mà tử và mẫu chỉ có ước chung là 1 và −1. | ||
| d) Tổng số đo của hai góc kề bù bằng 180o. |
II. Tự luận (8 điểm)
Câu 6 (2 điểm). Thực hiện phép tính

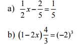
Câu 7 (1.5 điểm). Tìm x biết

Câu 8 (1.5 điểm). Ba xe vận tải phải chở 1400 tấn xi măng từ nhà máy đến công trường. Xe thứ nhất chở được 2/5 tổng số xi măng. Xe thứ hai chở được 60% số xi măng còn lại. Hỏi mỗi xe chở được bao nhiêu tấn xi măng
Câu 9 (2 điểm). Trên cùng một nửa mặt phẳng bờ chứa tia Ox, vẽ hai tia Ot và Oy sao cho
.
a) Tính góc tOy.
b) Tia Ot có là tia phân giác của góc xOy không? Vì sao?
c) Gọi Om là tia đối của tia Ot. Tính số đo góc mOy.
Câu 10 (1 điểm). So sánh
với 1.