Đề thi giải toán trên Máy tính cầm tay lớp 12 tỉnh Bến Tre năm 2012 - 2013 môn Toán
Vndoc.com xin giới thiệu đến các bạn: Đề thi giải toán trên Máy tính cầm tay lớp 12 tỉnh Bến Tre năm 2012 - 2013 môn Toán.
Đề thi môn Toán:
SỞ GIÁO DỤC VÀ ĐÀO TẠO
|
ĐỀ THI GIẢI TOÁN TRÊN MÁY TÍNH CẦM TAY
|
Bài 1:
Đồ thị hàm số y = ax4 + bx3 + cx2 + d đi qua bốn điểm A(-2; -32); B(0; -4); C(1; 5) và D(3; 113).
1. Xác định giá trị của a, b, c, d
2. Tìm tọa độ gần đúng các điểm cực trị của đồ thị hàm số.
Bài 2:
Cho dãy số {xn} với n = 1, 2, 3,... thỏa mãn x1 = 1,49999999 và xn+1 = 2xn3 - 5xn2 + 4xn với n = 1, 2, 3,...
1. Chứng minh rằng dãy ố có giói hạn hữu hạn.
2. Tìm giá trị nhỏ nhất của n để cho |xn - 1| < 10-7
Bài 3:
Tìm gần đúng giá trị lớn nhất và nhỏ nhất của hàm số: ![]()
Bài 4:
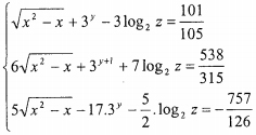
Tìm nghiệm gần đúng của hệ phương trình:
Bài 5:
Cho dãy số {un} được xác định như sau: u1 = 2; u2 = 5;
1. Viết quy trình bấm phím liên tục tính giá trị của u8; u12; u16 của dãy.
2. Gọi Sn là tổng của n số hạng đầu tiên của dãy. Tính S10; S15; S20
Bài 6:
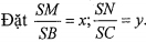
Cho hình tư diện SABC. Gọi G là trọng tâm tam giác SBC, mặt phẳng (P) đi qua A, G cắt SB, SC lần lượt tại M, N. ![]()
1. Chứng minh hệ thức: x + y = 3xy
2. Gọi V1, V lần lượt là thể tích tứ diện SAMN, SABC. Tìm tập giá trị của V1/V khi x thay đổi.