Đề thi học sinh giỏi lớp 11 khu vực Duyên Hải và đồng bằng Bắc Bộ năm 2013 - 2014
HỘI CÁC TRƯỜNG THPT CHUYÊNĐỀ THI CHÍNH THỨC |
KỲ THI CHỌN HỌC SINH GIỎI
|
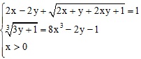
Câu 1 (4 điểm):
Giải hệ phương trình: 
Câu 2 (4 điểm):
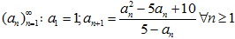
Cho dãy: ![]()
a) Chứng minh dãy (an) hội tụ và tính liman
b) Chứng minh ![]()
Câu 3 (4 điểm):
Gọi AD, BE, CF là ba đường phân giác trong của tam giác ABC vuông ở A. Đoạn thẳng AD cắt EF tại K. Đường thẳng qua K song song với BC cắt AB, AC lần lượt ở M, N. Chứng minh rằng: ![]()
Câu 4 (4 điểm):
Tìm tất cả các hàm số f: R → R thoả mãn: f(x2 + y2) = xf(x) + yf(y), với mọi x, y thuộc R (1)
Câu 5 (4 điểm):
Cho 100 số tự nhiên không lớn hơn 100 có tổng bằng 200. Chứng minh rằng từ các số đó có thể chọn được ít nhất một bộ các số có tổng bằng 100.