Giao diện mới của VnDoc Pro: Dễ sử dụng hơn - chỉ tập trung vào lớp bạn quan tâm. Vui lòng chọn lớp mà bạn quan tâm: Lưu và trải nghiệm
Đóng
Điểm danh hàng ngày
  • Hôm nay +3
  • Ngày 2 +3
  • Ngày 3 +3
  • Ngày 4 +3
  • Ngày 5 +3
  • Ngày 6 +3
  • Ngày 7 +5
Bạn đã điểm danh Hôm nay và nhận 3 điểm!
Nhắn tin Zalo VNDOC để nhận tư vấn mua gói Thành viên hoặc tải tài liệu Hotline hỗ trợ: 0936 120 169

Đề thi học sinh giỏi lớp 11 THPT Chuyên tỉnh Vĩnh Phúc năm 2012 môn Toán - Có đáp án

Lớp: Lớp 11
Dạng tài liệu: Đề thi HSG
Loại File: Word
Phân loại: Tài liệu Tính phí

SỞ GIÁO DỤC VÀ ĐÀO TẠO
TỈNH VĨNH PHÚC

(ĐỀ THI CHÍNH THỨC)

KỲ THI CHỌN HSG LỚP 11 NĂM HỌC 2011-2012
ĐỀ THI MÔN: TOÁN

Dành cho học sinh THPT chuyên Vĩnh Phúc
Thời gian làm bài: 180 phút, không kể thời gian giao đề

Câu 1 (3,0 điểm).

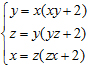
1. Giải hệ phương trình: (x, y, z thuộc ¡).

2. Tính giới hạn sau: .

Câu 2 (2,0 điểm).

Cho các số thực dương a, b, c thỏa mãn ac ≥ 12 và bc ≥ 8. Tìm giá trị nhỏ nhất có thể được của biểu thức:

Câu 3 (2,0 điểm).

Tìm tất cả các số nguyên dương n và số nguyên tố p thỏa mãn đồng thời các điều kiện n ≤ 2p và (p - 1)n + 1 chia hết cho np-1.

Câu 4 (2,0 điểm).

Xét các điểm M, N (M, N không trùng với A) tương ứng thay đổi trên các đường thẳng chứa các cạnh AB, AC của tam giác ABC sao cho và các đường thẳng BN, CM cắt nhau tại P. Gọi Q là giao điểm thứ hai (khác điểm P) của đường tròn ngoại tiếp các tam giác BMP và CNP.

1. Chứng minh rằng Q luôn nằm trên một đường thẳng cố định.

2. Gọi A', B', C' lần lượt là điểm đối xứng với Q qua các đường thẳng BC, CA, AB. Chứng minh rằng tâm đường tròn ngoại tiếp tam giác A'B'C' nằm trên một đường thẳng cố định.

Câu 5 (1,0 điểm).

Ta gọi mỗi bộ ba số nguyên dương (a; b; c) là một bộ n- đẹp nếu a ≤ b ≤ c, ước chung lớn nhất của a, b, c bằng 1và (an + bn + cn)(a + b + c). Ví dụ, bộ (1; 2; 2) là 5- đẹp, nhưng không phải là 3- đẹp. Tìm tất cả các bộ n- đẹp với mọi n≥ 1 (nếu có).

Chọn file muốn tải về:
Đóng Chỉ thành viên VnDoc PRO/PROPLUS tải được nội dung này!
Đóng
79.000 / tháng
Đặc quyền các gói Thành viên
PRO
Phổ biến nhất
PRO+
Tải tài liệu Cao cấp 1 Lớp
30 lượt tải tài liệu
Xem nội dung bài viết
Trải nghiệm Không quảng cáo
Làm bài trắc nghiệm không giới hạn
Mua cả năm Tiết kiệm tới 48%

Có thể bạn quan tâm

Xác thực tài khoản!

Theo Nghị định 147/2024/ND-CP, bạn cần xác thực tài khoản trước khi sử dụng tính năng này. Chúng tôi sẽ gửi mã xác thực qua SMS hoặc Zalo tới số điện thoại mà bạn nhập dưới đây:

Số điện thoại chưa đúng định dạng!
Số điện thoại này đã được xác thực!
Bạn có thể dùng Sđt này đăng nhập tại đây!
Lỗi gửi SMS, liên hệ Admin
Sắp xếp theo
🖼️

Thi học sinh giỏi lớp 11

Xem thêm
🖼️

Gợi ý cho bạn

Xem thêm